首   頁  公司簡介  產品中心  質量體系  銷售網絡  聯系我們
 
  溫度儀表系列
  壓力儀表系列
  流量儀表系列
  校驗儀表系列
  顯示儀表系列
  變送器儀表系列
  電線電纜系列
 
  電磁流量計的工作原理
  氧化鋯氧傳感器的原理及應用
  有害氣體檢測報警儀選用原則
  我國計量用儀器儀表的發展和現狀
  國內儀器儀表行業將發生高科....
  西安交大研制出超高溫沖擊壓....
  采用半導體精密溫度傳感......
  智能溫度傳感器的發展趨勢
  簡述幾種氣體檢測傳感器.....
  利用傳感器技術制造智能服裝
  新型傳感器監控魚群數量
   
 
聯系方式
 電話(市場部):0517-86851868  
        0517-86882048
        0517-86881908
   (拓展部):0517-86882683
 傳真:0517-86851869
 節假日商務聯系電話:
 何經理:13655238295
 紀經理:18015196880
 郵編:211600
 網址:http://m.tutu08.com/
    http://www.sukeyb.com/
 E-mail:china-suke@163.com
     sukeyb@163.com
 地址:江蘇省金湖縣工業園區環城西
 路269號
 您現在的位置 > 首頁 > 行業新聞 > 差壓式流量計在瓦斯氣體中的應用
  發布時間:2016-03-14

差壓式流量計在瓦斯氣體中的應用

0 引言
   針對瓦斯抽放管道中流量計量裝置不同的安裝環境,目前煤礦使用的流量計主要有差壓式V錐流量計威力巴流量計、熱線式流量計。差壓式V錐流量計和威力巴流量計需要配置信號處理儀表,但市場上配置的信號處理儀表只能采集1個差壓信號用于計算瓦斯抽放管道流量,且沒有考慮環境條件變化對流量的影響,不能進行實時補償,造成流量測量結果誤差較大。鑒此,一種具有動態補償的差壓式瓦斯抽放流量儀表,可同時測試管道差壓、管道負壓、環境絕壓、管道溫度、管道瓦斯濃度5個環境參數,并對管道瓦斯流量測量進行實時補償,提高了流量測量的準確性。
1 測量原理及補償方法
1.1 傳感器測量原理
   差壓式V錐流量計和威力巴流量計是由傳感器和信號處理儀表組成的測量裝置。傳感器產生一個依據流量大小而變化的差壓。具有動態補償的差壓式瓦斯抽放流量儀表采集相應管道差壓、管道負壓、環境絕壓、管道溫度和管道瓦斯濃度5個環境參數,用于計算流量。常用的差壓式流量計體積流量計算公式為

式中:QV為體積流量;k為傳感器的結構系數;Δp為傳感器檢測的差壓;ρ為被測介質的密度。
   在實際生產和測試中,k,Δp和ρ都可能造成不同程度的測量誤差。其中k取決于結構加工精密度,出廠前通過水流量計量裝置實流標定確定;Δp取決于差壓傳感器精度,出廠前精度通過壓力計量標校裝置標校;ρ取決于現場測試介質狀態,需要根據介質狀態的變化進行實時動態補償。
   瓦斯抽放管道內氣體壓力變化范圍一般為-80~20kPa,溫度變化范圍為0~40℃。管道內氣體一般由空氣、CH4及其他烷類氣體組成,空氣和CH4比例占99%以上,因此瓦斯抽放管道內其他氣體組分幾乎可以忽略不計,但空氣和CH4的組分比例在不停變化。由此可見,介質密度動態補償需要從氣體壓力、溫度和濃度3方面來考慮。
1.2 儀表補償方法
理想氣體狀態方程:

式中:P為絕壓;V為體積;n為物質的量;R為比例常數;T為溫度。
摩爾質量計算公式:
M=m/n (3)
式中:M為摩爾質量;m為質量。
密度計算公式:
ρ=m/V (4)
由式(2)—式(4)可得
ρ=PM/RT (5)
由式(1)和式(5)可得

由于管道內氣體主要由CH4和空氣組成,所以混合氣體的摩爾質量為
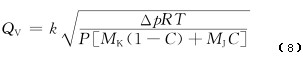
M=MK(1-C)+MJC    (7)
式中:MK為空氣的摩爾質量;MJ為CH4的摩爾質量;C為管道氣體中CH4比例。
由式(6)和式(7)可得


式(8)為管道內氣體體積流量實時動態補償模型,包含了氣體溫度、壓力和濃度補償,可以完全兼容應用在瓦斯抽放系統中,使整個流量計量裝置準確度達到1級。針對現場不能采集管道氣體濃度信號的特殊情況,如果濃度變化范圍不大,可在儀表參數中設置管道濃度定值來進行補償。
2 硬件和軟件設計
2.1 硬件設計
2.1.1 硬件結構
   具有動態補償的差壓式瓦斯抽放流量儀表的硬件結構如圖1所示。該儀表具有4個傳感器模塊,分別為差壓、絕壓、表壓和溫度檢測模塊,其中差壓和絕壓檢測模塊輸出信號經外部16位A/D模塊AD7705轉換后通過SPI總線由MCU采集處理計算,溫度和表壓檢測模塊輸出信號由MCU內部10位A/D轉換器采集轉換后參與計算。CH4信號來自瓦斯抽放裝置內的CH4傳感器,MCU通過頻率信號采集電路采集其輸入的頻率進行計算,最終計算的流量結果通過LCD顯示。在實際使用中通信方式和管徑等參數可通過紅外遙控器直接設置。另外,電源處理模塊增加了限流和軟啟動處理;信號傳輸分為總線和頻率2種數據傳輸方式,并增加光耦隔離處理,提高抗干擾性。
具有動態補償的差壓式瓦斯抽放流量儀表硬件結構圖
2.1.2 壓力信號處理
   差壓、表壓和絕壓3路信號處理模塊基本一致,選用1210A系列電流型壓力傳感器模塊。壓力測量范圍內1.25mA電流輸入,0~40mV電壓信號輸出。輸出信號經過運算放大器AD8572及外圍電路器件進行放大處理,最終差壓(量程0~10kPa)和絕壓(量程0~200kPa)信號通過外部16位A/D處理,表壓(量程-100~0kPa)信號通過MCU內部10位A/D轉換。A/D轉換精度滿足差壓準確度等級0.5和分辨率0.02kPa、絕壓和表壓準確度等級1和分辨率0.3kPa的要求。
2.1.3 頻率信號采集
   CH4頻率信號采集電路如圖2所示。IN_CH4+和IN_CH4-分別為CH4頻率信號正負輸入端,經過光耦TLP521隔離,輸出信號PWM_IN直接接入MCU進行采集處理。
頻率信號采集電路圖
2.2 軟件設計
   瓦斯抽放管道內氣體介質比較特殊,體現在以下方面:①氣體介質由多種氣體混合而成;②氣體介質受抽放管道前端鉆孔影響,水汽成分會瞬間增大;③現場管道布置不合理會導致管道內待測氣流不穩定。這些情況都會影響傳感器數據采集的穩定性,造成測量結果漂動或瞬時失真。硬件上無法解決該問題,因此在軟件上采用中位值平均濾波算法,該算法融合了中位值濾波算法和算術平均濾波算法的優點,可對偶然出現的脈沖干擾起到很好的抑制作用,同時也可提高信號的平滑度。
   軟件在實用性方面增加了以下設計:①考慮到現場防爆要求,儀表不能開蓋,采用紅外遙控按鍵方式設置儀表參數;②根據現場不同分站通信格式的要求,設計基于標準Modbus RTU協議的RS485和200~1000kHz頻率輸出的2種通信方式;③根據現場管道內氣流復雜度,增加濾波次數設置功能;④根據客戶使用習慣,增加工況流量和標況流量換算以及顯示功能;⑤根據現場特殊情況,增加單參數和多參數補償設置功能。
具有動態補償的差壓式瓦斯抽放流量儀表的主程序流程如圖3所示。
具有動態補償的差壓式瓦斯抽放流量儀表主程序流程圖
3 性能測試
   為驗證具有動態補償的差壓式瓦斯抽放流量儀表在水汽較大、直管段短、有振動環境下的補償性能,將該流量儀表配合V錐流量計安裝于2套不同的瓦斯抽放管道。第1套為貴州小牛煤礦地面抽放泵站附近DN700抽放管道,該管道距離抽放泵較近,伴有一定振動,且直管段不足,流量范圍為0~300m3/min;第2套為貴州米籮煤礦井下回風巷DN300抽放管道,該管道經常伴有突然的水流流過,流量范圍為0~80m3/min。每套瓦斯抽放管道前端50cm處焊接測試孔用于安裝標準流量計測試,標準流量計采用認可度較高的熱式質量流量計。儀表在2套管道上的實測數據分別見表1和表2。

   從表1和表2可看出,若不采用溫度、壓力和瓦斯濃度補償,小牛煤礦的流量測試實時相對誤差為29.6%,米籮煤礦的流量測試實時相對誤差為21.7%,補償后的數據和標準流量偏差在準確度1級以內。目前為止,具有動態補償的差壓式瓦斯抽放流量儀表已穩定運行2個月,沒有出現由干擾引起的數據波動。
4 結語
   介紹了一種差壓式流量儀表測量瓦斯抽放管道氣體流量的補償公式及方法,給出了該儀表的軟硬件設計。現場測試結果表明,該儀表可從氣體溫度、壓力和濃度3方面對瓦斯抽放管道氣體流量進行實時補償,減小了管道流量測量誤差,能較好地抑制現場干擾對數據采集造成的波動。

以上內容來源于網絡,如有侵權請聯系即刪除!


下篇文章:金屬轉子流量計常見問題排查 上篇文章智能渦街流量計運行故障與處理
 版權所有:江蘇省蘇科儀表有限公司       技術支持│易品網絡
溫度儀表事業部   壓力儀表事業部   流量儀表事業部  校驗儀表事業部   顯示儀表事業部   變送器儀表事業部   電線電纜事業部