首   頁  公司簡介  產品中心  質量體系  銷售網絡  聯系我們
 
  溫度儀表系列
  壓力儀表系列
  流量儀表系列
  校驗儀表系列
  顯示儀表系列
  變送器儀表系列
  電線電纜系列
 
  電磁流量計的工作原理
  氧化鋯氧傳感器的原理及應用
  有害氣體檢測報警儀選用原則
  我國計量用儀器儀表的發展和現狀
  國內儀器儀表行業將發生高科....
  西安交大研制出超高溫沖擊壓....
  采用半導體精密溫度傳感......
  智能溫度傳感器的發展趨勢
  簡述幾種氣體檢測傳感器.....
  利用傳感器技術制造智能服裝
  新型傳感器監控魚群數量
   
 
聯系方式
 電話(市場部):0517-86851868  
        0517-86882048
        0517-86881908
   (拓展部):0517-86882683
 傳真:0517-86851869
 節假日商務聯系電話:
 何經理:13655238295
 紀經理:18015196880
 郵編:211600
 網址:http://m.tutu08.com/
    http://www.sukeyb.com/
 E-mail:china-suke@163.com
     sukeyb@163.com
 地址:江蘇省金湖縣工業園區環城西
 路269號
 您現在的位置 > 首頁 > 行業新聞 > 插入式電磁流量計線性度的探討
  發布時間:2016-03-08

插入式電磁流量計線性度的探討

1.引言
    近年以來,隨著流量計量行業的發展,電磁流量計以其無可動部件、無壓力損失、測量量程范圍寬等優點應用于各種場合,而在使用過程中遇到的一個難題就是如何提高大口徑流量計量的準確度。如果使用管道式電磁流量計測量大口徑管道流量,則其體積大、加工成本高并且標定和安裝維修都十分困難,給工程應用帶來很多不便。所以在這種情況下,一般用插人式電磁流量計代替管道式電磁流量計用于測量大口徑管道的流量。但是插入式電磁流量計會產生非線性現象,影響測量的準確性。現在很多學者解決這個問題多采用的是多段非線性補償方法,把整個量程范圍里面的流量分成多個流量段,再分別求解出不同階段的流量系數,從而可以得出各段的流量值。但是這種方法使用起來比較復雜,且精度也受到了限制。所以本文從電磁流量計自身結構出發,找出產生非線性現象的原因,從源頭上找出提高插入式電磁流量計線性度的方法。
2.插入式電磁流量計工作原理
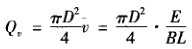
    插入式電磁流量計測量原理是基于法拉第電磁感應定律E=BLv
其中,E為兩電極之間產生的感應電動勢,B為磁感應強度,L為切割磁感線的有效長度,為平均流速,流質為導電介質,原理圖如圖1所示。并且(1)式經變換可表示為
插入式電磁流量計原理圖
當B和都為常數時,只要測得感應電動勢E就可以得到平均流速,因被測管道的橫截面積已知,這樣就可以很容易求得某導電流質的體積流量

其中,D為被測管道內徑,Q為體積流量。
由(3)式可知,當插入管道結構一定時,體積流量P與比值E/B成正比,而與流體的溫度、密度、管內壓力等無關。
當磁感應強度B為常數時,體積流量Q與感應電動勢E成正比,即體積流量與感應電動勢之間是完全呈線性關系的。
3.傳感器線性度評定
    線性度是傳感器的主要靜態性能指標之一,其定義為測試系統的輸出和輸入系統能否像理想系統那樣保持正常值比例關系(線性關系)的一種度量。線性度反應了校準曲線與某一規定直線一致的程度,此規定直線即為按一定方法確定的理想直線。線性度又稱為非線性度,參考GB/T18459—2001《傳感器主要靜態性能指標計算方法》中的線性度定
義:正、反行程實際平均特性曲線相對于參比直線(擬合直線)的最大偏差,用滿量程輸出的百分比來表示。這一指標通常以線性誤差表示

其中,△max為最大殘差,Y為理論滿量程輸出。本文采用最小二乘法進行線性度評定,即擬合直線為最小二乘直線。最小二乘直線保證了傳感器實際輸出的平均值對它的偏差的平方和為最小,即可以保證擬合直線得到的結果與實測結果之間的偏差很小,更具可靠性。根據定義,線性度即是校準曲線對這條最小二乘擬合直線的偏離程度。
4插入式電磁流量計非線性現象成因
    插入式電磁流量計使用時在被測管道合適位置處打孔插入以測量導電流體流量,并且可以在不斷流的情況下取出進行清洗和維修,操作十分方便。但是插入管道的探頭對于管道流場來說,相當于引入了一個阻流器件,流體對此探頭進行繞流運動,如圖2所示。
插入式電磁流量計流體繞探頭示意圖
其中,△max為最大殘差,Y為理論滿量程輸出。本文采用最小二乘法進行線性度評定,即擬合直線為最小二乘直線。最小二乘直線保證了傳感器實際輸出的平均值對它的偏差的平方和為最小,即可以保證擬合直線得到的結果與實測結果之間的偏差很小,更具可靠性。根據定義,線性度即是校準曲線對這條最小二乘擬合直線的偏離程度。


下篇文章:智能渦街流量計運行故障與處理 上篇文章蒸汽測量中流量計選型
 版權所有:江蘇省蘇科儀表有限公司       技術支持│易品網絡
溫度儀表事業部    壓力儀表事業部   流量儀表事業部   校驗儀表事業部   顯示儀表事業部  變送器儀表事業部   電線電纜事業