首   頁  公司簡介  產品中心  質量體系  銷售網絡  聯系我們
 
  溫度儀表系列
  壓力儀表系列
  流量儀表系列
  校驗儀表系列
  顯示儀表系列
  變送器儀表系列
  電線電纜系列
 
  電磁流量計的工作原理
  氧化鋯氧傳感器的原理及應用
  有害氣體檢測報警儀選用原則
  我國計量用儀器儀表的發展和現狀
  國內儀器儀表行業將發生高科....
  西安交大研制出超高溫沖擊壓....
  采用半導體精密溫度傳感......
  智能溫度傳感器的發展趨勢
  簡述幾種氣體檢測傳感器.....
  利用傳感器技術制造智能服裝
  新型傳感器監控魚群數量
   
 
聯系方式
 電話(市場部):0517-86851868  
        0517-86882048
        0517-86881908
   (拓展部):0517-86882683
 傳真:0517-86851869
 節假日商務聯系電話:
 何經理:13655238295
 紀經理:18015196880
 郵編:211600
 網址:http://m.tutu08.com/
    http://www.sukeyb.com/
 E-mail:china-suke@163.com
     sukeyb@163.com
 地址:江蘇省金湖縣工業園區環城西
 路269號
 您現在的位置 > 首頁 > 行業新聞 > 插入式電磁流量計線性度的研究
     

插入式電磁流量計線性度的研究
發布時間:2016-11-07

1 引言
    近年以來,隨著流量計量行業的發展,電磁流量計以其無可動部件、無壓力損失、測量量程范圍寬等優點應用于各種場合,而在使用過程中遇到的一個難題就是如何提高大口徑大流量計量的準確度。如果使用管道式電磁流量計測量大口徑管道流量,則其體積大、加工成本高并且標定和安裝維修都十分困難,給工程應用帶來很多不便。所以在這種情況下,一般用插入式電磁流量計代替管道式電磁流量計用于測量大口徑管道的流量。
    但是插入式電磁流量計會產生非線性現象,影響測量的準確性,F在很多學者解決這個問題多采用的是多段非線性補償方法,把整個量程范圍里面的流量分成多個流量段, 再分別求解出不同階段的流量系數,從而可以得出各段的流量值。但是這種方法使用起來比較復雜,且精度也受到了限制。所以本文從電磁流量計自身結構出發,找出產生非線性現象的原因,從源頭上找出提高插入式電磁流量計線性度的方法。
2 插入式電磁流量計工作原理
    插入式電磁流量計測量原理[1]是基于法拉第電磁感應定律

    其中,E 為兩電極之間產生的感應電動勢,B 為磁感應強度,L為切割磁感線的有效長度,v珋 為平均流速,流質為導電介質,原理圖如圖 1 所示。
并且( 1) 式經變換可表示為

當 B 和 L 都為常數時,只要測得感應電動勢 E 就可以得到平均流速ν? ,因被測管道的橫截面積已知,這樣就可以很容易求得某導電流質的體積流量

    其中,D 為被測管道內徑,Qv為體積流量。由( 3) 式可知,當插入管道結構一定時,體積流量 Qv與比值 E/B 成正比,而與流體的溫度、密度、管內壓力等無關。當磁感應強度B為常數時,體積流量Qv與感應電動勢E成正比,即體積流量與感應電動勢之間是完全呈線性關系的。
    由( 3) 式可知,當插入管道結構一定時,體積流量 Qv與比值 E/B 成正比,而與流體的溫度、密度、管內壓力等無關。當磁感應強度B為常數時,體積流量Qv與感應電動勢E成正比,即體積流量與感應電動勢之間是完全呈線性關系的。
3 傳感器線性度評定
    線性度[2]是傳感器的主要靜態性能指標之一,其定義為測試系統的輸出和輸入系統能否像理想系統那樣保持正常值比例關系( 線性關系) 的一種度量。線性度反應了校準曲線與某一規定直線一致的程度,此規定直線即為按一定方法確定的理想直線。線性度又稱為非線性度,參考GB/T18459 -2001《傳感器主要靜態性能指標計算方法》中的線性度定義: 正、反行程實際平均特性曲線相對于參比直線( 擬合直線) 的最大偏差,用滿量程輸出的百分比來表示。這一指標通常以線性誤差表示

    本文采用最小二乘法進行線性度評定,即擬合直線為最小二乘直線。最小二乘直線保證了傳感器實際輸出的平均值對它 的偏差的平方和為最小,即可以保證擬合直線得到的結果與實測結果之間的偏差很小,更具可靠性。根據定義,線性度即是校準曲線對這條最小二乘擬合直線的偏離程度。
4 插入式電磁流量計非線性現象成因
    插入式電磁流量計使用時在被測管道合適位置處打孔插入以測量導電流體流量,并且可以在不斷流的情況下取出進行清洗和維修,操作十分方便。但是插入管道的探頭對于管道流場來說,相當于引入了一個阻流器件,流體對此探頭進行繞流運動,如圖 2 所示。
插入式電磁流量計流體繞探頭流動圖示
    流體繞探頭流動時,由于粘性力的存在,在探頭表面會形成邊界層。隨著流體沿曲面上下繞流,邊界層厚度越來越大。越靠近壁面的地方,其流場的變化越復雜[3]。而流場分布的變化會擴大被測平均流速與實際來流速度之間的誤差。并且在逆壓強梯度足夠大的時候會產生回流導致邊界層分離,并形成尾渦,即產生邊界層分離現象,這會使非線性現象加劇。即是被測平均流速與來流速度之間的非線性導致了感應電動勢與被測流量之間線性關系遭到破壞,使插入式電磁流量計測量的準確度降低。
    影響這一線性關系的因素有許多,主要有插入式電磁流量計的安裝角度[4]、插入深度、探頭形狀等等。其中安裝角度和插入深度對輸入輸出信號間線性關系的影響可以通過正確安裝流量計和標定實驗來得以消除。所以本文所研究的影響插入式電磁流 量計線性度的原因主要是插入管道內的探頭形狀,不同探頭形狀對管內流場分布狀況的影響不盡相同。
    本文通過 FLUENT 軟件對四種不同形狀的插入探頭對管道流場的影響進行了三維仿真,在 0. 5m/s ~ 15m/s 范圍內,選取其中典型的幾個速度點作為入口速度,以垂直于來流方向兩電極所在截面的平均流速作為信號采集到的平均流速,通過擬合得到它們之間的關系。根據比較不同形狀探頭情況下得到的最小二乘擬合直線所求出的流速與實際流速之間偏差的大小來評判線性度的優劣,從而可以得到線性度的一種探頭類型。
5 數值模型設計
    本文利用前處理軟件 GAMBIT 構建工程上四種常見的插入式電磁流量計探頭形狀,如圖 3 所示。設定管道內徑為400mm,插入深度為 120mm,探頭半徑為 32mm,電極半徑為5mm。
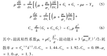
5.1 湍流模型
    本文的湍流模型采用工程上使用廣泛的標準k-ε模型,需要求解湍動能及其耗散率方程。在該模型中,有關湍動能k和耗散率ε的運輸方程如下


5.2 網格劃分
    用 GAMBIT 軟件對流場進行網格劃分,因要模擬的是三維流場計算區域,在既要保證精度的前提下又要盡可能使運算簡便,故在靠近探頭周圍區域劃分出密一點的網格,而在前后直管段區域劃分出相對稀一點的網格,以滿足計算要求。本文使用的網格格式單元是 Tet/Hybrid,指定的格式類型是 TGrid,表明指定網格主要由四面體網格構成,但是在適當的位置可以包含六面體、錐形和楔形網格單元。
5.3 建立離散化方程
    本文使用現今工程上應用廣泛的有限體積法[6],將計算區域劃分為一系列控制體積,并在每一個控制體積上對待解微分方程積分,得出離散方程。在這些控制體上求解質量、動量、能量、組分等的通用守恒方程

    其中,左邊第一項為瞬態項,第二項為對流項,右邊第一項為擴散項,第二項為通用源項。方程中的 φ 是廣義變量,可以表示一些待求的物理量如速度、溫度、壓力等,Γ 是相應于 φ 的廣義擴散系數,變量 φ 在端點的邊界值為已知。
在控制方程中使用了 SIMPLE 算法,是屬于壓力修正法的一種; 并且采用了二階迎風格式,使計算結果更加準確。
5. 4 確定邊界條件
    實驗以常溫常壓下水( 20℃、1atm) 為流入管道的流質,設定管道入口邊界條件為速度入口,管道出口邊界條件為壓力出口。選取以下 8 個速度點進行仿真: 0. 5m/s、1. 0m/s、2.5m / s、5m / s、7. 5m / s、10m / s、12. 5m / s、15m / s,觀察其流場分布,可以得到信號采集到的平均流速。
6 仿真結果與計算比對
    通過 FLUENT 仿真,可以看到由于探頭的插入,流質對探頭進行繞流運動,導致管道內流場發生了變化,破壞了流場穩定性,即是這種變化導致了插入式電磁流量計輸入輸出信號之間的線性度降低。同時還可以得到在0. 5m/s ~ 15m/s的流速范圍內,不同來流速度下信號采集到的平均流速,得到如下表 1。

    從表 1 可以看出,由于插入探頭的影響,使得穩定的流場受到擾動,速度越大,受到擾動的程度越大,使流場更加混亂復雜。通過 matlab 軟件中的 polyfit 函數對上表數據進行最小二乘線性擬合,得到四條擬合的最小二乘直線,如圖 4 所示。
四條擬合直線分別對應了四項擬合公式,把信號采集到的平均流速帶入這些公式,可以得到其最小二乘線性擬合儀表示值,如表 2 所示。



    從表 2 可以看出,用最小二乘擬合直線所得流速與實際流速之間的偏差很小,也就是說以最小二乘擬合直線所得流速十分接近真實值,說明了用最小二乘擬合直線進行線性度評定的可靠性。因此,這種擬合方法是可行的。用表 2 數據與實際速度進行對比,得出其擬合殘差,如表 3 所示。

    從上表數據可以找出相應探頭形狀對應的最大的最小二乘線性擬合殘差,因此時的理論滿量程為 14. 5,則根據式( 4) ,就可以計算出這四種形狀的最小二乘線性度,如表 4 所示。

    從表 4 可以看出,在相同的速度范圍內,形狀( 4) 的線性度比其它形狀的線性度相對要好,且使用這種形狀的流量傳感器探頭的量程比范圍可達 1: 30,可以達到 1 級精度要求。說明在相同條件下,探頭形狀為( 4) 的插入式電磁流量計測量出的數據更加精確,減少了后期對數據的線性度補償計算,更加適合于工程應用。
7 實驗標定
    在實驗四種探頭線性度相對優劣的基礎上,確定了一種理論上線性度好的一種探頭形狀,即形狀( 4) 。為了實際驗證這一結論,以該形狀的探頭為基礎做成試驗樣機進行標定檢驗。本文中采用容積 - 時間法[7]對形狀( 4) 的試驗樣機進行標定,可以得到其測得的儀表體積流量值和標準裝置的體積流量值,如表 5 所示。

從標定實驗數據可以看出,通過形狀( 4) 加工所得樣機的示值誤差最大值為 0. 91%,小于 1. 0%,可以認為該樣機符合 1. 0 級精度要求?梢姺抡娼Y果與實驗數據相吻合,即形狀( 4) 可以達到減小非線性度,擴寬線性范圍的目的。
8 結論
    本文通過 FLUENT 軟件對工程上常用的四種不同形狀的插入式電磁流量計探頭進行仿真,然后用最小二乘線性度評定對這四種不同形狀的仿真測速實驗效果進行線性度評定和對比,可以得出以下結論:
1) 插入管道的探頭壁面在流場中會產生邊界層甚至邊界層分離現象,影響了探頭附近流場,破壞了流場穩定性,降低了插入式電磁流量計的線性度,從而影響其測量準確度。
2) 對比得出的四種探頭的線性度,第四種形狀的探頭的線性度相對來說更好。
3) 通過仿真數據與實驗數據的對比,驗證了本文設計方案的合理性和可行性。有理由認為,通過改變插入式電磁流量計的探頭形狀來擴寬其線性范圍是一種行之有效的研究方法,從而為研制更高性能的插入式電磁流量計提供了新的理論基礎。


以上內容來源于網絡,如有侵權請聯系即刪除!

下篇文章:孔板流量計在配氣站應用誤差分析 上篇文章溫壓補償在流量計量中的應用
 版權所有:江蘇省蘇科儀表有限公司       技術支持│易品網絡
溫度儀表事業部    壓力儀表事業部   流量儀表事業部  校驗儀表事業部   顯示儀表事業部   變送器儀表事業部   電線電纜事業部