首   頁  公司簡介  產品中心  質量體系  銷售網絡  聯系我們
 
  溫度儀表系列
  壓力儀表系列
  流量儀表系列
  校驗儀表系列
  顯示儀表系列
  變送器儀表系列
  電線電纜系列
 
  電磁流量計的工作原理
  氧化鋯氧傳感器的原理及應用
  有害氣體檢測報警儀選用原則
  我國計量用儀器儀表的發展和現狀
  國內儀器儀表行業將發生高科....
  西安交大研制出超高溫沖擊壓....
  采用半導體精密溫度傳感......
  智能溫度傳感器的發展趨勢
  簡述幾種氣體檢測傳感器.....
  利用傳感器技術制造智能服裝
  新型傳感器監控魚群數量
   
 
聯系方式
 電話(市場部):0517-86851868  
        0517-86882048
        0517-86881908
   (拓展部):0517-86882683
 傳真:0517-86851869
 節假日商務聯系電話:
 何經理:13655238295
 紀經理:18015196880
 郵編:211600
 網址:http://m.tutu08.com/
    http://www.sukeyb.com/
 E-mail:china-suke@163.com
     sukeyb@163.com
 地址:江蘇省金湖縣工業園區環城西
 路269號
 您現在的位置 > 首頁 > 行業新聞 > 溫壓補償在流量計量中的應用
     

溫壓補償在流量計量中的應用
發布時間:2016-11-03

1 引言
   差壓式流量計測量氣體流量時,由于介質工作溫度、壓力不是恒定的,所以需要對測得的流量進行溫壓補償才能獲得準確的流量數值。但在實際維護工作中,由于概念模糊、錯誤,對公式及參數的理解不夠深入嚴謹、各主流DCS或流量演算儀組態參數的配置不一等原因導致氣體流量測量偏差較大。
2 溫壓補償
2.1 溫壓補償的基本原理
   由于氣體的可壓縮性,決定了其流量測量的復雜性,氣體的實際流量除了與儀表的測量信號有關,還與氣體的實時密度有關,而氣體的密度又是溫度和壓力的函數,所以,氣體的流量測量普遍存在溫壓補償問題,其實質就是被測氣體的工況下溫度、壓力與設計數值不符時,而采取的密度修正措施。
2.2 溫壓補償的前提
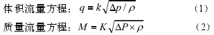
   只有計算出流量,補償才有意義。溫壓補償的前提就是計算出流量,沒有流量計算,補償就無從談起。只要是利用差壓原理來測量流量,都滿足流量基本方程。流量基本方程式(差壓流量計)為:

式中:
q為被測氣體在工作狀態下的體積流量;
M為被測氣體在工作狀態下的質量流量;
k為系數,它包含流量系數、膨脹系數、管道孔徑等參數;
Δp為差壓,可實時檢測;
ρ為工作狀態下的密度,一般難以直接測得,通常通過溫度、壓力、組分求得,需在線進行溫壓補償。
2.3 溫壓補償的基本公式
依據理想氣體、水蒸氣、濕氣體3種情況密度變化的具體特點,分別衍生出3種不同的流量補償公式。
(1) 理想氣體溫壓補償公式

式中:F0為補償前的流量,單位為m3/h;
F為補償后的流量,單位為m3/h;
P為工作壓力,單位為kPa;
Pb為設計壓力,單位為kPa;
T為工作溫度,單位為K;
Tb為設計溫度,單位為K。
(2)水蒸氣溫壓補償公式
   水蒸氣不等同于理想氣體,其密度與溫度、壓力沒有現成的、精確的函數關系式,只能從手冊中,根據溫度和壓力查表找出相應的密度,或以經驗公式來替代,分為兩種情況:
當壓力變化范圍0.1~1.1MPa,溫度變化范圍100~400℃時:

當壓力變化范圍1.0~14.7MPa,溫度變化范圍400~500℃時

式中:P為實時壓力,T為實時溫度。
(3)濕氣體溫壓補償公式
   濕氣體與干氣體的不同點是,其密度除了與溫度、壓力有關外,還與濕度有關,包含濕度補正的濕氣體溫壓補償公式:

式中:
Q為補償后的質量流量,
Q0為補償前的質量流量,單位為kg/m3;
0.804為溫度0℃,一個標準大氣壓下,水蒸氣的密度,單位為kg/m3;
ρ0、T0、P0分別表示氣體在0℃、一個標準大氣壓下的密度、絕對溫度、絕對壓力;
F為氣體的絕對濕度,kg/m3;
Z為氣體壓縮系數;
P為實時壓力;
T為實時溫度;
F、Z、ρ0可查表求得。
3 溫壓補償的實施
3.1 DCS中實現溫壓補償
   在目前應用的主流DCS系統具有數學函數、邏輯運算的功能塊,方便程序得以實現。對于理想氣體而言,艾默生DeltaV系統調用PT_COMP模塊、橫河CS3000 DCS系統調用TPCFL模塊、和利時MACCS DCS系統調用TPCOMP模塊、浙大中控JX-300XDCS系統調用PTCOMP模塊,定義相關變量并設置相應參數即可。對于濕氣體或蒸汽而言,只需按照上述對應的溫壓補償公式單獨組態即可。
3.2 PLC中實現溫壓補償
   對于PLC控制系統,實現起來較為復雜。不管是理想氣體還是濕氣體或蒸汽而言,都須按照各自的補償公式自定義功能塊,在功能塊中通過文本化的高級編程語言編寫應用程序,調用該功能塊來實現密度計算。
3.3 流量演算儀中實現溫壓補償
   在流量演算儀中組態,若現場為差壓式儀表時,一方面要注意選用合適的密度補償模塊,同時還需注意通道的正確性、單位的一致性。若現場為脈沖式儀表,在設定儀表系數時確保單位的一致性,且只能測得工況下的體積流量,結合已經固化好的密度補償芯片可算出對應的質量流量。
4 溫壓補償的典型誤解及維護策略
4.1 正確對待極端情況
   要對實際工況波動頻繁及波動很大的場合持慎重態度,否則單靠溫壓補償仍難達到測量精度要求。自控人員應建議工藝人員查找工況參數波動大及波動頻繁的原因,從工藝或設備上進行改進才是上策。
4.2 油品計量也需要溫壓補償
   石油制品大都采用壓力、溫度修正,它通過密度與壓力、溫度的函數關系進行計算而得到。但這種方法并非所有情況都是有效的,如被測介質組分經常變動,密度與壓力溫度關系不明確或精度不高等就難以應用,因此,應該發展補償的直接法(密度、粘度補償),使直接法和間接法(壓力溫度補償)同時并舉,相輔相成。
4.3 工況流量與標準流量的區別
   工況下的流量是指介質在實際工作狀態下的流量,設計流量是指介質在某種規定條件(一般為設計狀況)下的流量,標準流量是指壓力為101325Pa,溫度為20℃時的體積流量。在實際工作中有很多人將設計流量誤解為標準大氣壓下的流量,這種情況一定要加以糾正。
4.4 量程與單位必須保證一致
   注意DCS、PLC、演算儀中的差壓、溫度、壓力值的上下限的設定要與各個變送器保持一致,并要注意各個量的單位使用,單位在任何時候都需保持一致。
4.5 流量系數設定要慎之又慎
   在以脈沖形式輸出的流量傳感器(如渦街流量計、渦輪流量計旋進漩渦流量計、羅茨流量計)中,常用儀表常數來表示脈沖輸出量與流過儀表的流體流量之間的靜特性。在流量儀表中,儀表常數的定義是單位體積流體流過流量計時流量計發出的脈沖數,其單位為L-1或m-3,有些儀表中將單位標示為流量系數K(單位為P/L或P/m-3,有的單位為I/L,有的單位為ξ單位為l/P,有的單位為N/L,或N/m-3),在進行計算時,應保持量綱的一致性,有時需進行簡單單位換算,否則容易出錯。
4.6 避免重復開方
   差壓式流量計總是要有開方運算這一環節,但若在差壓變送器開了平方后,在二次儀表(DCS、PLC、流量演算儀)中再開方一次,就會產生相當大的誤差,重復開方使得儀表示值偏大。
4.7 避免將絕對壓力當表壓來處理
   在帶壓力補償的流量測量系統中,其中最容易出錯的是將絕對壓力當表壓來處理,流量補償中用的壓力變送器一般均為表壓力變送器,但在差壓流量計中進行壓力補償的公式為絕壓,將絕對壓力當表壓來處理帶來的誤差是顯著的,而且操作壓力越低,影響越大。
4.8 溫壓補償不是萬能的
   當工況參數偏離設計值太多,或工況參數波動頻繁且太大時,即使有了溫壓補正措施,仍難達到測量精度要求,此時對于特定的孔板而言,只能重新計算差壓與流量之間的關系。
5 結束語
   氣體流量測量普遍存在溫壓補償問題,這是由氣體的特性所確定的。因此,在氣體流量測量系統中,溫壓補償是其中一個不可缺少的環節。深入了解溫壓補償的機理,將其靈活應用于工作實踐中,真正做到流量測量了然于心,才能在工作中不被動

以上內容來源于網絡,如有侵權請聯系即刪除!

下篇文章:插入式電磁流量計線性度的研究 上篇文章蒸汽計量現場渦街流量計常見問題解析
 版權所有:江蘇省蘇科儀表有限公司       技術支持│易品網絡
溫度儀表事業部    壓力儀表事業部   流量儀表事業部  校驗儀表事業部   顯示儀表事業部   變送器儀表事業部   電線電纜事業部