聯系方式 |
| 電話(市場部):0517-86851868 |
| 0517-86882048 |
| 0517-86881908 |
| (拓展部):0517-86882683 |
| 傳真:0517-86851869 |
節假日商務聯系電話:
何經理:13655238295
紀經理:18015196880 |
| 郵編:211600 |
| 網址:http://m.tutu08.com/ |
| http://www.sukeyb.com/ |
| E-mail:china-suke@163.com |
| sukeyb@163.com |
地址:江蘇省金湖縣工業園區環城西
路269號 |
|
|
 |
您現在的位置 > 首頁 > 行業新聞 > 智能型金屬管浮子流量計的流量換算 |
智能型金屬管浮子流量計的刻度是在20℃溫度下水標定或在氣壓101.325Kpa,20℃溫度下用空氣標定。若被測介質液體及氣體的密度、工作壓力與溫度不同于標定時的參數,則由于密度、粘度的差異,使用時,應對讀數進行修正,其修正公式:
- 對于液體,不考慮粘度影響的修正公式:

式中:
Q1------被測介質實際流量
Q0------ 儀表的指示流量
ρ0------標定介質水的密度
ρf------浮子的密度(不銹鋼為7.9g/cm3)
ρ1------被測介質的密度
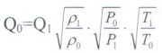
- 對于氣體不考慮粘度影響的修正公式:

式中:
Q1------被測氣體由P1 T1狀態下的體積流量換算到P0 T0狀態下的體積流量
Q0------標定介質為空氣在P0 T0狀態時的體積流量
P0------標準大氣壓101.325KPa
T0------熱力學溫度293K
P1------工作狀態下的絕對壓力
T1------工作狀態下的熱力學溫度K
ρ0------標定介質空氣在P0 T0狀態下的密度
ρ1------工作狀態下被測氣體在P0 T0狀態時的密度
訂購測量氣體的流量計時請按下式計算后再決定流量范圍。

|