首   頁  公司簡介  產品中心  質量體系  銷售網絡  聯系我們
 
  溫度儀表系列
  壓力儀表系列
  流量儀表系列
  校驗儀表系列
  顯示儀表系列
  變送器儀表系列
  電線電纜系列
 
  電磁流量計的工作原理
  氧化鋯氧傳感器的原理及應用
  有害氣體檢測報警儀選用原則
  我國計量用儀器儀表的發展和現狀
  國內儀器儀表行業將發生高科....
  西安交大研制出超高溫沖擊壓....
  采用半導體精密溫度傳感......
  智能溫度傳感器的發展趨勢
  簡述幾種氣體檢測傳感器.....
  利用傳感器技術制造智能服裝
  新型傳感器監控魚群數量
   
 
聯系方式
 電話(市場部):0517-86851868  
        0517-86882048
        0517-86881908
   (拓展部):0517-86882683
 傳真:0517-86851869
 節假日商務聯系電話:
 何經理:13655238295
 紀經理:18015196880
 郵編:211600
 網址:http://m.tutu08.com/
    http://www.sukeyb.com/
 E-mail:china-suke@163.com
     sukeyb@163.com
 地址:江蘇省金湖縣工業園區環城西
 路269號
 您現在的位置 > 首頁 > 行業新聞 > 玻璃轉子流量計刻度值修正
  發布時間:2017-03-30

玻璃管轉子流量計刻度值修正

  玻璃管轉子流量計具有結構簡單、工作可靠、線性刻度、讀數直觀等特點,屬于變面積式流量計的一種,在工業計量中應用廣泛。一般出廠時對玻璃管粗細均勻程度要求較高,但其粗糙的刻線使得其在使用中誤差非常大。由于玻璃管自身是錐體的,所以無法均勻分割刻線以達到與標準流量相接近的目的。為了達到預期使用目標,本著方便快捷、經濟合理的原則,本文以LZB-50和LF百分比型兩種流量計為例,采用鐘罩式氣體流量標準裝置,介紹如何把刻度示值無限接近地修正到標準流量。
1.相關概念
刻度示值:玻璃管或坐標紙上標刻的讀數,單位為m3/h,有時也用百分比。
標準流量:在101325Pa,20℃狀態下的流量,單位為m3/h。
引用誤差:(刻度示值-標準流量)/量程上限×100%。
2.LZB-50型流量計
(1)把轉子流量計按玻璃管上的刻度示值做一遍檢定,得到如表1所示數據,從中可以看出刻度示值為“100”和“80”時的引用誤差非常大,已經無法正常使用(JJG257—2007《浮子流量計檢定規程》中規定引用誤差最大為5%)。
(2)用坐標紙測量一下玻璃管上刻度示值“100”與“80”之間有多少小格(1小格=1mm),測得“100”與“80”之間有66mm。

(3)把刻度示值“100”對應的標準流量105.080m3/h減去刻度示值“80”對應的標準流量85.764m3/h,計算出“100”與”80”之間相差的標準流量。即
105.080-85.764=19.316m3/h
(4)計算出刻度示值“100”與“80”之間每毫米對應多少m3/h。即
19.316/66=0.29266m3/h
(5)以標準流量105.08m3/h為基準,找出標準流量為100m3/h時對應到玻璃管上的位置。即
105.08-100=5.08m3/h
5.08/0.29266=17.4mm
(6)由(5)中的兩個式子可以得出,標準流量為100m3/h和105.080m3/h時在玻璃管上的位置相差17.4mm。在坐標紙上找一起始刻線,并在玻璃管左側與“100”橫豎對齊并固定好,從坐標紙的起始刻線處向下移動17.4mm,該位置就是標準流量為100m3/h時的位置,在此處畫一橫線作標記,記數為100。以后把浮子升到該位置就可較為正確地得到100m3/h的標準流量。
7)上述步驟只得到刻度示值“100”的修正,同理可以得出80與60,60與40,40與20相差的距離,通過向下調整而得到所需修正值。如果我們認為某點滿足使用不用修正,那么就可以對照玻璃管上的刻線直接畫過來。
(8)修正完所有刻度示值后,按照坐標紙上的刻度示值重新檢定。得到如表2所示數據,從中可看出刻度示值為“100”與“80”時的引用誤差已變為0.28%,0.39%,明顯優于修正前。

3.LF百分比型流量計
  按玻璃管上的百分比刻度做其對應的標準流量,如表3所示。從表3可看出,假如需要60m3/h、50m3/h、40m3/h、30m3/h的標準流量時,我們是無法較為正確把浮子調到玻璃管上其對應的位置的,因此需要通過下列步驟得到我們想要的結果。

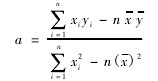
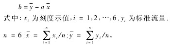
(1)根據上述數據用Excel等軟件繪制LF曲線圖轉換成線性公式得出標準流量;也可用下列公式y=ax+b(a為直線斜率,b為直線截距)求出標準流量。


(2)經計算得a=0.7104,b=0.3728,即y=0.7104x+0.3728。我們已經知道刻度示值“10”對應的標準流量為7.4507m3/h,那么只要以此為基準,向上找出60m3/h、50m3/h、40m3/h、30m3/h與7.4507m3/h之間的距離即可。
(3)由(2)中式子得出x=(y-0.3728)/0.7104,把所求的流量點流量(60m3/h,50m3/h,40m3/h,30m3/h)依次設為y值,得x值分別為83.9mm,69.8mm,55.7mm,41.7mm。
(4)在坐標紙上找一起始位置,并在玻璃管刻線左或右側與刻度示值“10”橫豎對齊并固定好,用鉛筆做一標記,記數為10。因為我們不需要找這個流量點,所以全部標完后要擦除該記數。
(5)以記數為10的起始刻線為基準,向上到達41.7,55.7,69.8,83.9mm處時分別做標記,畫一橫線,這些橫線標記即為所求流量點,記數為30m3/h,40m3/h,50m3/h,60m3/h。

4結論
  利用價格低廉的坐標紙在玻璃管上標注刻線,克服了玻璃管流量計自身出廠時的缺陷,更加有效地提高了流量計的精度,為工業計量節約了采買新流量計的成本。

以上內容來源于網絡,如有侵權請聯系即刪除!

下篇文章:渦街流量計應用特點與故障分析 上篇文章液體流量計檢定系統自動化實現
江蘇省蘇科儀表有限公司是一家專業提供渦街流量計渦輪流量計、電磁流量計的企業,公司將以優質的服務優惠的價格,服務新老客戶。
 版權所有:江蘇省蘇科儀表有限公司       技術支持易品網絡
溫度儀表事業部   壓力儀表事業部   流量儀表事業部   校驗儀表事業部   顯示儀表事業部   變送器儀表事業部   電線電纜事業部