首   頁  公司簡介  產品中心  質量體系  銷售網絡  聯系我們
 
  溫度儀表系列
  壓力儀表系列
  流量儀表系列
  校驗儀表系列
  顯示儀表系列
  變送器儀表系列
  電線電纜系列
 
  電磁流量計的工作原理
  氧化鋯氧傳感器的原理及應用
  有害氣體檢測報警儀選用原則
  我國計量用儀器儀表的發展和現狀
  國內儀器儀表行業將發生高科....
  西安交大研制出超高溫沖擊壓....
  采用半導體精密溫度傳感......
  智能溫度傳感器的發展趨勢
  簡述幾種氣體檢測傳感器.....
  利用傳感器技術制造智能服裝
  新型傳感器監控魚群數量
   
 
聯系方式
 電話(市場部):0517-86851868  
        0517-86882048
        0517-86881908
   (拓展部):0517-86882683
 傳真:0517-86851869
 節假日商務聯系電話:
 何經理:13655238295
 紀經理:18015196880
 郵編:211600
 網址:http://m.tutu08.com/
    http://www.sukeyb.com/
 E-mail:china-suke@163.com
     sukeyb@163.com
 地址:江蘇省金湖縣工業園區環城西
 路269號
 您現在的位置 > 首頁 > 行業新聞 > 轉子流量計與差壓式流量計區別
  發布時間:2017-03-23

轉子流量計與差壓式流量計區別

1 引 言
  轉子流量計差壓式流量計是工業上和實驗室中的流量計. 雖然都是測量流量的儀表,但是其原理卻大相徑庭,其流量基本方程的推導也不相同,因此,導致儀表的特點和適用場合也有所區別 .
2 流量計組成與流量測量原理
2.1 轉子流量計
  轉子流量計,是由一個自下往上逐漸擴大的帶刻度的錐形管和一個置于錐形管內可以自由上下移動的轉子構成. 工作時,被測流體由錐形管下端進入,沿著錐形管向上運動,流過轉子與錐形管之間的環隙,再從錐形管上端流出 . 受流動流體帶動作用,轉子受到一個自下向上流體對轉子的動壓力,正好等于轉子在被測流體中的重力(即轉子自身的重力減去流體對轉子的浮力).
轉子流量計工作原理圖
  垂直安裝流量計時,轉子重心就在錐形管中心軸線上,轉子所受的三個力都平行于中心軸線 . 當受力平衡時,轉子就穩定在錐管內某一位置上 . 對于給定的轉子流量計,轉子的材料、大小和形狀都可確定,所以轉子在被測流體中的重力是已知的,只有流體對轉子的動壓力是隨流體流速大小而變化的 . 因此當流體流速變大或變小時,轉子受到的動壓力增大或減小,轉子將作向上或向下的移動,轉子與錐形管壁之間的環隙面積也發生變化,即流動截面積也發生變化,待變化到某一流速轉子受力平衡時,轉子就穩定在新的位置上 . 對于一臺給定的轉子流量計,轉子在錐管中平衡位置的高低反應了被測流體流經錐形管的流量大小 .
2.2 差壓式流量計
  差壓式流量計由三部分組成,即由節流裝置、導壓管和差壓計 . 差壓式流量計是利用流體流動的節流原理來實現流量測量的.節流原理是流體在有節流裝置的管道中流動時,在節流裝置前后的管壁處,流體的靜壓力產生差異的現象 .
  流動流體的能量有靜壓能和動能兩種形式.流體具有靜壓能是因為有壓力,具有動能是因為有流動速度,在一定條件下,這兩種形式的能量是可以相互轉化 . 根據能量守恒定律,在沒有外加能量的前提下,流體所具有的靜壓能和動能,再加上用以克服流體流動阻力的能量損失,其能量總和是相等的 . 圖 2 表示在節流裝置前后截面Ⅰ、Ⅱ及Ⅲ處流體壓力與速度的分布情況 .  流體在到達截面Ⅰ之前,以一定的流速 v1流動,此時靜壓力為 p1. 在接近節流裝置時,由于遇到節流裝置的阻礙,使靠近管壁處的流體受到節流裝置的阻擋作用,使部分動能轉化為靜壓能,使得節流裝置入口端面靠近管壁處的流體靜壓力升高,并且遠大于管徑中心處的壓力,因此節流裝置入口端面處產生一徑向壓差 . 在徑向壓差的作用下,流體產生徑向加速度,從而使靠近管壁處的流體質點的流動方向傾斜于管道中心軸線,出現縮脈現象.由于受到慣性作用,流束的最小截面并不在節流裝置的孔口處,而是經過節流裝置之后仍繼續收縮,到截面Ⅱ處流束達到最小,此時流速最大,即 v2,之后流束又逐漸擴大,至截面Ⅲ后完全恢復,流速逐漸降到原值,即 v3=v1.
  由于節流裝置產生流束的局部收縮現象,使流體的流速隨之變化,即動能也跟著變化 . 根據能量守恒定律,表征流體靜壓能的靜壓力也要變化 . 在截面Ⅰ處,流體具有靜壓力 p1. 在截面Ⅱ處,流速增到最大 v2,靜壓力就降到最小 p2,而后又隨著流束的恢復而恢復 . 由于在節流裝置端面處流通面突然縮小,而節流裝置之后流通面積突然又擴大,使流體形成局部渦流,部分能量被消耗,同時流體流經孔板時,為克服摩擦力也需消耗能量,所以流體在截面Ⅲ處的靜壓力 p3不能恢復到原值 p1,而產生永久的壓力損失. 截面Ⅰ與Ⅱ處的壓差(δp=p1- p2)與流體在節流裝置前的流量有一一對應關系,只要測出節流裝置前后的壓差大小即可表示流量大小 .
節流裝置及壓力、流速分布圖
2.3 總結
  轉子流量計與差壓式流量計在工作原理上是不相同的 . 轉子式流量計,是在節流面積(如孔板流通面積)不變的條件下,以差壓變化來反映流量的大;而差壓式流量計,卻是以壓降不變,利用節流面積的變化來測量流量的大小.即轉子流量計的測量原理可以簡化為:恒壓降、變節流;差壓式流量計的測量原理簡化為:變壓降、恒節流 .
3 流量方程推導
3.1 轉子流量計
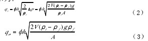
  轉子流量計中當轉子穩定時,對轉子進行受力分析:

  其中:ρt為轉子的密度;ρf為流體的密度;V 為轉子的體積;Δp 為轉子前后的壓差(常數);A 為轉子的最大截面積 .
  轉子和錐形管間的環隙面積相當于節流式流量計的節流面積,但它是變化的,并與轉子高度 h成近似的線性關系,因此,轉子流量計的流量可以表示為:

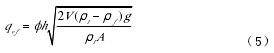
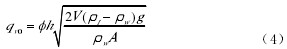
  式中,ф 為儀表常數;h 為轉子浮起的高度 .由于轉子流量計在生產中進行刻度的時候,通常選擇在工業基準狀態(20℃,0.10133Mpa)下用水或者空氣進行標定的 . 所以,在實際使用時,如果被測介質的密度和工作狀態與刻度時的不一致,就必須對流量指示值按照實際被測介質的密度、溫度、壓力等參數的具體情況進行修正.
①液體流量測量時的修正
  由于測量液體的轉子流量計是在常溫 20℃下用水標定的,根據式(1)可寫為:

  式中,qv0為用水標定時的流量刻度;ρw是水的密度 .
  如果被測介質不是水,則需要對流量刻度進行重新修正.如果被測介質的黏度和水的黏度相差不大,可以近似認為 ф 是常數,有

  式中,qvf為被測介質的實際流量;ρf是被測介質的密度 .
  式(5)和式(4)相除,整理后得:

②氣體流量測量時的修正
  當采用轉子流量計進行氣體流量測量時,對其流量值也要進行修正,除了被測介質的密度進行修正之外,還需要對被測介質的工作溫度和壓力進行修正 . 當已知儀表的顯示刻度為 qv0,則被測介質的實際流量(工業基準狀態)可按下式修正,即:

  式中,qvf為被測介質的實際流量;ρ0和 ρf是空氣和被測介質在標準狀態下的密度;Pf和 Tf分別為被測介質的絕對壓力和熱力學溫度;P0和T0分別為標準狀態下的絕對壓力和熱力學溫度(P0=0.10133Mpa,T0=293K);qv0為刻度流量值。
3.2 差壓式流量計
  流體流經節流裝置時,不對外做功,沒有外加能量,流體本身也沒有溫度變化 . 在管道內流動的流體,對于管道中任意兩個截面都符合伯努利方程,現選截面Ⅰ和Ⅱ(見圖 2)進行分析。
流體的伯努利方程:

  從上式可以看出:流量與壓力差 ΔP 的平方根成正比 .
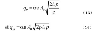
  對于可壓縮流體流量監測,因其易發生體積變化,所以在流量方程中要引入膨脹系數 ε,則流量基本方程可寫為:

  式中:qv、qm分別為被測介質的體積流量和質量流量;A0節流裝置的開孔截面積;ρ 節流裝置前的流體密度 .
  式(13)、(14)為節流式流量計的流量方程,即壓差和流量間的定量關系 .
  由流量基本方程可以看出,在其他條件不變的前提下,流量與壓差的平方根成正比,要知道流量與壓力差的真實關系,關鍵在于 α 的取值 .α 是受許多因素影響的綜合性系數,對于標準節流裝置,其值可以從有關手冊中查出;對于非標準節流裝置,其值主要由實驗方法得到 .
3.3 總結
  兩種流量計依據的原理不同,得到的流量方程截然不同 . 轉子流量計的流量基本方程主要是根據轉子受力平衡進行推導而得到的,而差壓式流量計的流量基本方程主要是根據伯努利方程和流體連續性方程進行推導而得到的 .
4 流量計的特點
4.1 轉子流量計
  轉子流量計用以測量單相非脈動流體(液體或氣體 ) 的流量,廣泛應用于化工、石油、輕工、醫藥、環保、食品及計量測試、科學研究等部門 .
4.1.1 轉子流量計的優點 :
① 轉子流量計適用于小管徑和低流速 . 常用轉子流量計口徑在 40-50mm 以下,最小口徑可達1.5-4mm. 在測量液體流速時,口徑 10mm 以下玻璃管轉子流量計徑,流速只在0.2-0.6m/s之間,甚至低于 0.1m/s;金屬管轉子流量計和口徑大于 15mm的玻璃管轉子流量計,流速在 0.5-1.5m/s 之間 .
② 轉子流量計可用于較低雷諾數,在轉子與管壁的環隙處流動的流體雷諾數只要大于 40 或500,即使雷諾數變化流量系數也要保持常數,即流體粘度對流量系數無影響.這數值遠低于節流差壓式儀表最低雷諾數 104-105 的要求 .
③ 大部分轉子流量計沒有上游直管段要求,對安裝條件要求較低 .
④ 轉子流量計流量測量范圍較廣,一般為10:1,最低為 5:1,最高為 25:1.
⑤ 與節流式流量計相比,轉子流量計壓力損失較低 .
⑥ 玻璃管轉子流量計結構簡單,價格低廉,使用方便 .
4.1.2 轉子流量計的缺點:
① 轉子流量計用來檢測的流體,若與出廠標定時使用的流體不同,則需作流量示值修正 . 測量液體的轉子流量計通常以水標定,氣體用空氣標定,如實際使用流體密度、粘度與之不同,流量要偏離原分度值,要作換算修正 . 因此,測量精度受流體物理參數變化的影響 .
玻璃轉子流量計因為有玻璃管,所以存在易碎的風險,尤其是用來檢測氣體流量的無導向結構轉子 .
③ 大部分結構轉子流量計只能用于自下向上垂直流的管道安裝 .
④ 轉子流量計應用僅適合于于中小管徑,普通全流型轉子流量計不適用于大管徑,玻璃管轉子流量計適用的最大口徑為 150mm,金屬轉子流量計適用的最大口徑為 200mm.
4.2 差壓式流量計
  差壓式流量計應用廣泛、歷史悠久,在各類流量儀表中其使用量大. 近來,各種新型流量計的出現,致使它的用量有所下降,但差壓式流量計目前仍在整個流量計量領域起著作用,廣泛應用于石油、化工、冶金、電力、輕工等各部門 .
4.2.1 差壓式流量計的優點:
① 標準差壓式流量計應用廣泛,結構簡單牢固,性能穩定可靠,使用壽命長,安裝方便,適用于大流量的測量 .
② 標準節流裝置適用于測量管道直徑大于50mm,雷諾數在指數 104-105以上,流體應當清潔且充滿全部管道,同時不發生相變 .
4.2.2 差壓式流量計的缺點:
① 差壓式流量計的測量精度偏低,測量的重復性、精度在流量計中處于中等水平,由于各種因素的綜合影響,其精度難以提高 .
② 流量測量范圍度窄,由于流量與儀表信號( 差壓 ) 的平方根成正比關系,范圍度一般僅 3:1-4:1.
③ 現場安裝條件要求較高,為保證流體在節流裝置前后為穩定的流動狀態,在節流裝置的上、下游必須配置一定長度的直管段 (指孔板,噴嘴),一般難以滿足 .
④ 差壓式流量計的壓損較大,孔板流量計的壓損最大,噴嘴流量計次之,文丘里管流量計最小,當不允許有較大的管道壓損時,不宜采用 .
⑤ 檢測件與差壓顯示儀表之間的引壓管線容易產生泄漏、堵塞、凍結及信號失真等故障 .
4.3 總結
  差壓式流量計僅適用于測量管道直徑大于50mm,雷諾數在指數 104-105以上的流體,而轉子流量計適用于小管徑、低流速、較低雷諾數的流速測量 . 差壓式流量計 ( 指孔板,噴嘴 ),為保證流體在節流裝置前后為穩定的流動狀態,需在節流裝置的上、下游必須配置一定長度的直管段,而轉子流量計對上游直管段要求不高,其現場安裝條件要求較低. 差壓式流量計的壓損較大,而轉子流量計壓力損失較低 .
5 結 論
  從對轉子流量計與差壓式流量計工作原理的分析、流量基本方程的推導及優缺點分析中得到如下體會:
  轉子流量計是一種恒壓降、變節流面積的流量儀表,轉子流量計在出廠前是在工業基準狀態(20℃,0.10133Mpa)下用水或者空氣進行刻度的,其流量基本方程在使用時需進行修正,適用于小管徑、低流速和低雷諾數,壓力損失較小 .
  差壓式流量計是一種恒節流、變壓降的流量儀表,由流量基本方程可以看出,在流量系數、膨脹系數及節流面積不變的前提下,流量與壓差的平方根成正比,該壓力計應用廣泛,結構簡單牢固,性能穩定可靠,使用壽命長,安裝方便,適用于大流量的測量,壓損較大 .
  在化工生產中使用時應根據現場要求,再結合各儀表的特點,選擇使用哪種流量計來進行測量 .

以上內容來源于網絡,如有侵權請聯系即刪除!

下篇文章:液體流量計檢定系統自動化實現 上篇文章金屬轉子流量計原理與應用特性
江蘇省蘇科儀表有限公司是一家專業提供渦街流量計、渦輪流量計電磁流量計的企業,公司將以優質的服務優惠的價格,服務新老客戶。
 版權所有:江蘇省蘇科儀表有限公司       技術支持易品網絡
溫度儀表事業部   壓力儀表事業部   流量儀表事業部   校驗儀表事業部   顯示儀表事業部   變送器儀表事業部   電線電纜事業部