首   頁  公司簡介  產品中心  質量體系  銷售網絡  聯系我們
 
  溫度儀表系列
  壓力儀表系列
  流量儀表系列
  校驗儀表系列
  顯示儀表系列
  變送器儀表系列
  電線電纜系列
 
  電磁流量計的工作原理
  氧化鋯氧傳感器的原理及應用
  有害氣體檢測報警儀選用原則
  我國計量用儀器儀表的發展和現狀
  國內儀器儀表行業將發生高科....
  西安交大研制出超高溫沖擊壓....
  采用半導體精密溫度傳感......
  智能溫度傳感器的發展趨勢
  簡述幾種氣體檢測傳感器.....
  利用傳感器技術制造智能服裝
  新型傳感器監控魚群數量
   
 
聯系方式
 電話(市場部):0517-86851868  
        0517-86882048
        0517-86881908
   (拓展部):0517-86882683
 傳真:0517-86851869
 節假日商務聯系電話:
 何經理:13655238295
 紀經理:18015196880
 郵編:211600
 網址:http://m.tutu08.com/
    http://www.sukeyb.com/
 E-mail:china-suke@163.com
     sukeyb@163.com
 地址:江蘇省金湖縣工業園區環城西
 路269號
 您現在的位置 > 首頁 > 行業新聞 > 渦輪流量計介紹
     

渦輪流量計介紹
發布時間:2016-10-17

第一節 概論
    渦輪流量計(以下簡稱渦輪流量計)是葉輪式流量(流速)計的主要品種,葉輪式流量計還有風速計、水表等。
    在各種流量計中渦輪流量計、容積式流量計和科氏質量流量計是三類重復性、精度最佳的產品,而渦輪流量計又具有自己的特點,如結構簡單、加工零部件少、重量輕、維修方便、流通能力大(同樣口徑可通過的流量大)和可適應高參數(高溫、高壓和低溫)等。至今,這類流量計產品可達技術參數:口徑4~750mm,壓力達250MPa,溫度為-240~700℃,像這樣的技術參數其他兩類流量計則是難以達到的。
    渦輪流量計廣泛應用于以下一些測量對象:石油、有機液體、無機液、液化氣、天然氣、煤氣和低溫流體等。在國外液化石油氣、成品油和輕質原油等的轉運及集輸站,大型原油輸送管線的首末站都大量采用它進行貿易結算。在歐洲和美國渦輪流量計是僅次于孔板流量計的天然氣計量儀表,僅荷蘭在天然氣管線上就采用了2600多臺各種尺寸,壓力從0.8MPa到6.5MPa的氣體渦輪流量計,他們已成為優良的天然氣流量計。
    盡管渦輪流量計的優良計量特性受到人們的青睞,可是給人的印象是由活動部件,使用期短,在選用時不免躊躇,經過人們的不懈努力,應該說情況大有改觀。
    渦輪流量計作為最通用的流量計,其產品已發展為多品種、全系列、多規格批量生產的規模。應該指出,渦輪流量計除前述工業部門大量應用外,在一些特殊部門亦得到廣泛應用,如科研實驗、國防科技、計量部門,這些領域的使用恰好避開了其弱點(不適于長期連續使用),充分發揮其特點(精度佳,重復性好,可用于高壓、高溫、低溫及微流量等條件)。在這些領域,大多是根據被測對象的特殊要求進行專門的結構設計,它們是專用儀表不進行批量生產。
第二節 工作原理
渦輪流量計工作原理
      圖1所示為渦輪流量計傳感器結構圖,由圖可見,當被測流體流過傳感器時,在流體作用下,葉輪受力旋轉,其轉速與管道平均流速成正比,葉輪的轉動周期地改變磁電轉換器的磁阻值。檢測線圈中磁通隨之發生周期性變化,產生周期性的感應電勢,即電脈沖信號,經放大器放大后,送至顯示儀表顯示。
      渦輪流量計的實用流量方程為
         qv=f/K            (7.1)
        qm=qvρ           (7.2)
      式中
      qv,qm-分別為體積流量,m3/s,質量流量,kg/s;
      f-流量計輸出信號的頻率,Hz;
      K-流量計的儀表系數,P/m3。
    流量計的儀表系數與流量(或管道雷諾數)的關系曲線如圖2所示。由圖可見,儀表系數可分為二段,即線性段和非線性段。線性段約為工作段的三分之二,其特性與傳感器結構尺寸及流體粘性有關。在非線性段,特性受軸承摩擦力,流體粘性阻力影響較大。當流量低于傳感器流量下限時,儀表系數隨著流量迅速變化。壓力損失與流量近似為平方關系。當流量超過流量上限時要注意防止空穴現象。結構相似的渦輪流量計特性曲線的形狀是相似的,他僅在系統誤差水平方面有所不同。
渦輪流量計特性曲線
    傳感器的儀表系數由流量校驗裝置校驗得出,它完全不問傳感器內部流體的流動機理,把傳感器作為一個黑匣子,根據輸入(流量)和輸出(頻率脈沖信號)確定其轉換系數,它便于實際應用。但要注意,此轉換系數(儀表系數)是有條件的,其校驗條件是參考條件,如果使用時偏離此條件,系數將發生變化,變化的情況視傳感器類型,管道安裝條件和流體物性參數的情況而定。
第三節 主要特點 
1)精度佳,對于液體一般為±0.25%R-±0.5%R,精度型可達±0.15%R;而介質為氣體,一般為±1%R-±1.5%R,特殊專用型為±0.5%R-±1%R。在所有流量計中,它屬于最精確的。
2)重復性好,短期重復性可達0.05%-0.2%,正是由于具有良好的重復性,如經常校準或在線校準可得極高的精度,在貿易結算中是優先選用的流量計。
3)輸出脈沖頻率信號,適于總量計量及與計算機連接,無零點漂移,抗干擾能力強。
4)可獲得很高的頻率信號(3-4kHz),信號分辨力強。
5)范圍度寬,中大口徑可達40:1-10:1,小口徑為6:1或5:1。
6)結構緊湊輕巧,安裝維護方便,流通能力大。
7)適用高壓測量,儀表表體上不必開孔,易制成高壓型儀表。
8)專用型傳感器類型多,可根據用戶特殊需要設計為各類專用型傳感器,例如低溫型、雙向型、井下型、混砂專用型等。
9)可制成插入型,適用于大口徑測量,壓力損失小,價格低,可不斷流取出,安裝維護方便。
10)難以長期保持校準特性,需要定期校驗。對于無潤滑性的液體,液體中含有懸浮物或磨蝕性,造成軸承磨損及卡住等問題,限制了其適用范圍,采用耐磨硬質合金軸和軸承后情況有所改進。對于貿易儲運和高精度測量要求的,最好配備現場校驗設備,可定期校準以保持其特性。
11)一般液體渦輪流量計不適用于較高粘度介質(高粘度型除外),隨著粘度的增大,流量計測量下線值提高,范圍度縮小,線性度變差。
12)流體物性(密度、粘度)對儀表特性有較大影響。氣體流量計易受密度影響,而液體流量計對粘度變化反應敏感。由于密度和粘度與溫度、壓力關系密切,在現場溫度、壓力波動是難免的,要根據它們對精度影響的程度采取補償措施,才能保持高的計量精度。
13)流量計受來流流速分布畸變和旋轉流的影響較大,傳感器上下游側需設置較長的直管段,如安裝空間有限制,可加裝流動調整器(整流器)以縮短直管段長度。
14)不適于脈動流和混相流的測量。
15)對被測介質的清潔度要求較高,限制了其適用領域,雖可安裝過濾器以適應臟污介質,但亦帶來壓損增大、維護量增加等副作用。
16)小口徑(DN50以下)儀表的流量特性受物性影響嚴重,故小口徑渦輪流量計的儀表性能難以提高。
第四節 分類與傳感器結構
4.1 分類
(1)按傳感器結構分類
1)軸向型(普通型)葉輪軸中心與管道軸線重合,是渦輪流量計的主導產品,有全系列產品(DN10-DN600)。
2)切向型 葉輪軸與管道軸線垂直,流體流向葉片平面的沖角約90度,適用于小口徑微流量產品。
3)機械型 葉輪的轉動直接或經磁耦合帶動機械計數機構,只是積算總量,測量精度比電信號檢測的傳感器稍低,其傳感器與顯示裝置組成一體式,受到用戶歡迎。
4)井下專用型 適用于石油開采井下作業及采輸用,測量介質有泥漿及油氣流等,傳感器體積受限制,需耐高壓、高溫及流體沖擊等。
5)自校正雙渦輪型 可用于天然氣等氣體流量測量,傳感器由主、輔雙葉輪組成,可由二葉輪的轉速差自動校正流量特性的變化。
6)廣粘度型 在波特型浮動轉子壓力平衡結構基礎上擴大上錐體與下錐體的直徑,增加粘度補償翼及承壓葉片等結構措施,使傳感器適用于高粘度液體,如重油,粘度可達30mm2/s。
4.2 傳感器結構
    渦輪流量計傳感器由表體、導向體(導流器)、葉輪、軸、軸承及信號檢測器組成(見圖1)。
1)表體。表體是傳感器的主體部件,它起到承受被測流體的壓力,固定安裝檢測部件,連接管道的作用。表體采用不導磁不銹鋼或硬鋁合金制造。對于大口徑傳感器已可用碳鋼與不銹鋼組合的鑲嵌結構,表體外壁裝信號檢測器。
2)導向體。在傳感器進出口裝有導向體,他對流體起導向整流以及支撐葉輪的作用,通常選用不導磁不銹鋼或硬鋁材料制作。反推式渦輪流量傳感器的后導流件還要求能產生足夠的反推力,其結構形式很多。前導流器有專利產品可以抗流體流動的嚴重干擾。
3)渦輪。亦稱葉輪,是傳感器的檢測元件,它由高導磁性材料制成。葉輪有直板葉片、螺旋葉片和丁字形葉片等幾種,也可用嵌有許多導磁體的多孔護罩環來增加一定數量葉片渦輪旋轉的頻率,葉輪由支架中軸承支撐,與表體同軸,其葉片數視口徑大小而定。葉輪幾何形狀及尺寸對傳感器性能有較大影響,要根據流體性質、流量范圍、使用要求等設計,葉輪的動平衡很重要,直接影響儀表性能和使用壽命。
4)軸與軸承。它支撐葉輪旋轉,需有足夠的剛度、強度和硬度、耐磨性、耐腐蝕性等。它決定著傳感器的可靠性和使用期限。傳感器失效通常是由軸與軸承引起的,因此它的結構與材料的選用以及維護是很重要的。
5)信號檢測器。國內常用變磁阻式,如圖1上半部分所示。由永久磁鋼、導磁棒(鐵芯)、線圈等組成。永久磁鋼對葉片有吸引力,產生磁阻力矩,小口徑傳感器在小流量時,磁阻力矩在諸阻力矩中成為主要項,為此將永久磁鋼分為大小兩種規格,小口徑配小規格以降低磁阻力矩。輸出信號有效值在10mV以上的可直接配用流量計算機,配上放大器則輸出伏級頻率信號。
傳感器結構類型很多,這里介紹幾種廣泛應用的產品。
1)止推式渦輪流量傳感器 這類產品的結構簡圖于圖3。其中圖(a)與圖(b)為軸尖止推類,采用平面或球面點接觸,接觸點與傳感器軸線重合,點接觸的優點是摩擦力矩很小,可用于較低的下限流量,但是大流量時磨損嚴重。圖(c)為端面面接觸止推型,端頭呈球形,軸承為平面型。此類結構僅用于小口徑(DN≤15mm)傳感器,發揮其靈敏度高的特點。
渦輪流量計止推式結構圖
2)反推式渦輪流量傳感器這類產品的結構簡圖如圖4所示。圖4(a)中在輸入端面處的壓力pH降低,產生反推力;圖4(b)是流體經前面孔引入產生反推力;圖4(c)表示流體由后反向推。反推式結構在一定流量范圍內可使葉輪處于浮游狀態,軸向不存在接觸點,無端面摩擦和磨損,可延長使用期限。
渦輪流量計反推式結構圖
3)切向式渦輪流量傳感器 圖5所示為用于微流量測量的渦輪流量傳感器。流體由葉輪的切向流過,沖擊其葉片旋轉。由于被測流量小,為加大流體對葉輪的沖力,入口處裝有噴嘴,可以更換噴嘴孔徑以調節流量范圍。葉輪的轉速采用光電法檢測,以避免如磁阻法產生磁阻力矩。
渦輪流量計切向式結構圖
4)氣體渦輪流量計氣體的密度遠小于液體密度,流體推動力矩小,氣體流量傳感器與液體流量傳感器在結構參數上有顯著差別。要加大輪轂半徑,縮小流道截面積,使氣流流速加大且集中經過葉片邊緣。因氣流流速很高,要用較小沖角的葉片。一般為降低摩擦阻力矩,采用滾動軸承,并對軸承系統注入潤滑劑。它能沖洗掉軸承表面的微粒,延長軸承壽命。多孔狀的儲油室能在換加潤滑劑期間向軸承持續供油。典型的燃氣渦輪流量計如圖6所示。圖6(a)所示為氣體渦輪流量計的剖面圖。圖6(b)所示為傳感器顯示裝置上附加氣體體積補償器,補償器把傳感器測量的實際體積流量經壓力、溫度換算為標準狀態下的體積流量。另外還有報警、自診斷、遠傳信號等多種功能,他是一臺功能齊全的流量計算機。
氣體渦輪流量計傳感器結構圖
第五節 選用考慮要點
(1)精度
    一般說來,選用渦輪流量計主要是看中其精度佳。目前渦輪流量計的精度大致為液體:國際市場為±0.15%R,±0.2%R,±0.5%R和±1%R,國內定型產品為±0.5%R和±1%R;氣體:國際市場為±0.5%R和±1%R,國內為±1%R和±1.5%R,以上精度指范圍度為6:1或10:1。若干渦輪流量傳感器典型參數如表1所示。精度除與本身產品質量有關外,還與使用條件密切相關。
    若縮小范圍度可提高精度;特別是作為標準表法流量標準裝置的標準流量計,若定點使用,精度可大為提高。
    流量計精度愈高,對現場使用條件的變化就越敏感,要想保持其高精度,需要對儀表系數特別的處理。一種處理方法就是所謂儀表系數浮動處理法。即由現場以下條件實時進行處理:a)粘度受溫度的影響;b)密度受壓力、溫度的影響;c)傳感器信號冗余(一臺傳感器輸出二個信號,監視其比值;d)系數的長期穩定性(采取控制圖確定)等。
    對于貿易儲運交接計量,常配備在線校驗裝置,以便定期進行校驗。
    生產廠使用說明書列舉的儀表精度為基本誤差,現場應估算附加誤差,現場誤差應為兩者的合成。
(2)流量范圍的選擇
    渦輪流量計的流量范圍的選擇對其精度及使用期限有較大的影響。一般在工作時最大流量相應的轉速不宜過高。使用狀況分連續工作和間歇工作兩種,連續工作是指每天工作時間超過8小時,間歇工作是每天工作時間少于8小時。對于連續工作最大流量應選在儀表上限流量的較低處,而間歇工作可選在較高處。一般連續工作是將實際最大流量乘以1.4作為流量范圍的上限流量,而間歇工作則乘以1.3。
    如果儀表口徑與工藝管道通徑不一致時,則應以異徑管和等徑直管改裝管道。
    對于流速偏低的工藝管道,最小流量成為選擇儀表口徑首先要考慮的問題,通常以實際最小流量乘以0.8作為流量范圍的下限流量,使其留有一定的裕量。若配有分段線性化功能的顯示儀,在傳感器流量下限值不能滿足實際最小流量時,應要求生產廠在實際最小流量及其附近進行流量校驗,將測得的儀表系數輸入顯示儀,這樣就能既降低儀表的流量下限值,還能保持測量的精度。
(3)精度等級
    對于儀表精度等級的要求要慎重,應該從經濟角度來考慮,例如大口徑輸油(輸氣)管線的貿易結算儀表,經濟上關系重大,在儀表上多投入是合算的。至于輸送量不大或作為過程控制用只需中等精度水平即可,切忌盲目追求精度。本安型防爆傳感器適配安全柵型號及制造廠,核查防爆等級及批準文號等。若要顯示質量流量(或標準狀態下體積流量)要選配壓力、溫度傳感器或密度儀表。渦輪流量計顯示儀現已由以微處理器為基礎可與上位計算機進行通信的流量計計算機所包括,該儀表在儀表功能及使用范圍等都遠超過老式渦輪流量顯示儀。目前作為貿易計量的各類型流量計都趨向于配有直讀式顯示裝置(如圖6所示)。不但有總量計量的顯示,還可附加補償器(一臺功能齊全的流量計算機)輸出遠傳信號。
(4)對流體的要求
    渦輪流量計對流體的要求為潔凈(或基本潔凈)、單相或低粘度的,常用流體舉例如下:一般流體,包括水、空氣、氧氣、高壓氫氣、牛奶、咖啡等;石油化工類:汽油、輕油、噴氣燃料、輕柴油、石腦油、乙烯、聚乙烯、苯乙烯、液化氣、二氧化碳及天然氣;化學溶液類:氨水、甲醇、鹽水等;有機液體:酒精、乙醚、苯、甲苯、二甲苯、丁二烯、四氯化碳、甲基胺、丙烯腈等;無機液:甲醛、酢酸、苛性鈉、二硫化碳等。對于腐蝕性介質,使用材質選擇要注意,含雜質多及磨蝕性介質不推薦使用。
(5)對液體粘度的要求
    液體渦輪流量計為粘度敏感的流量計,當液體粘度增大時,儀表系數的線性區變窄,下限流量增大,當粘度增加到一定數值時,甚至無線性區域。螺旋葉片的情況比直葉片要好的多。
    對于液體,通常用水校驗傳感器,當精度為0.5級時,可在5×10-6mm2/s以下的液體而不必考慮粘度的影響。當流體粘度高于5×10-6mm2/s時,可用相當粘度的液體校驗而不必作粘度修正。此外也可采取一些措施來補償粘度的影響。如縮小使用范圍度,提高流量下線值或儀表系數乘以雷諾數修正系數等。
    粘度對儀表系數的影響與傳感器結構類型及參數口徑大小等有關。有幾種粘度對儀表系數影響的表示方法:儀表系數與雷諾數的關系,在幾種粘度下,儀表系數與輸出頻率的關系和儀表系數與輸出頻率除以運動年度的比值的關系等等。這些資料有的生產廠準備有,但并非所有的生產廠都有這些資料。
(6)對氣體密度的要求
    氣體渦輪流量計主要考慮流體密度對儀表系數的影響,密度的影響主要在低流量區域,如圖14所示。密度的增大(即壓力增大)使特性曲線直線部分向下限流量區域拓展,傳感器的范圍度擴大,線性度改善。若氣體渦輪流量計在常壓的空氣中校驗使用時被測介質工作壓力不一樣,其下限流量由下式計算qvmin,qvamin-分別為壓力p和壓力,pa(101.325kPa)下被測介質和空氣的體積流量下限值,m3/h;p,pa-分別為工作壓力(絕壓)和大氣壓(101.325kPa),kPa;d-被測介質的相對密度,無量綱。
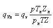
(7)體積流量換算到質量流量
    渦輪流量計測量的是實際體積流量,無論物料平衡或能源計量,介須測量介質流量(即標準狀態下的體積流量),這是應由下式進行換算
      
    式中 qv,qvn-分別為工作狀態和標準狀態下的體積流量,m3/h;
    p,T,Z-分別為工作狀態下絕對壓力(Pa),熱力學溫度(K)和氣體壓縮系數;
    pn,Tn,Zn-分別為標準狀態下絕對壓力(Pa),熱力學溫度(K)和氣體壓縮系數;
(8)不宜選用渦輪流量計的場所
    含雜質多的流體,如循環冷卻水、河水、排污水、燃油等;流量急劇變化的場所,如鍋爐供水系統、有空氣錘的供氣系統等;測量液體時,管道壓力不高而流量又較大,儀表下游側壓力可能接近飽和蒸汽壓,有產生氣穴的危險,如液氨從高位槽靠位能自由流出,在排放口處就不宜安裝;電焊機、電動機、有觸點的繼電器等的附近,存在嚴重電磁干擾的場所;上下游直管段長度嚴重不足,如輪船的機艙內;鍋爐自動供水系統如頻繁地起泵和停泵,對葉輪造成沖擊,使傳感器很快損壞;有腐蝕性或磨蝕性介質選型時應慎重,宜與制造廠聯系咨詢。
(9)經濟性
    選用渦輪流量計用于精度佳場合,其經濟因素應多方面考慮。儀表的購置費只是費用的一部分,還應考慮以下幾方面的開支:安裝用輔助設備費(如消氣器、過濾器等)或旁路支管包括閥門等;校驗費,為了保持精度必須經常校驗,甚至在現場安裝一套在線校驗裝置,其費用相當可觀;維護費,渦輪流量計的易損件更換用,他是保持高性能必需的。
(10)選用步驟
1)確認可用的測量對象,如前所述。
2)選擇型式。按流體物性選擇,氣體和液體分別用氣體型和液體型,不能通用。在工作狀態下液體粘度超過5mPa.s應選用粘度型(國內尚無定型產品)。酸性腐蝕性液體選用耐酸型(國內尚無定型產品)。
    按環境條件選擇,按環境溫度和濕度等選擇合適儀表,如周圍有爆炸易燃性氣氛應選防爆型傳感器。
    按管道連接方式選擇,傳感器有水平和垂直兩種安裝方式。水平安裝時與管道連接方式有法蘭連接、螺紋連接和夾裝連接。中等口徑選用法蘭連接,小口徑和高壓管道選用螺紋連接,夾裝連接只適用于低壓中小管徑。垂直安裝只有螺紋連接。
3)選擇規格。按現場使用條件,如流量范圍、管徑、流體壓力和溫度、安裝位置等和性能要求,如精度、重復性、顯示方式等參照制造廠選型樣本或使用說明書選定具體規格型號,也有可能找不到合適的,只好另選其它流量計。
    由于渦輪流量計類型規格繁多,特別是不同制造廠產品質量有差別,必須盡量搜集有關標準等資料進行反復調查比較后再決定取舍。
第六節 安裝注意事項
    傳感器應安裝在便于維修,管道無振動、無強電磁干擾與熱輻射影響的場所。液體渦輪流量計的典型安裝管路系統如圖7所示。圖中各部分的配置可視被測對象情況而定,并不一定全部都需要。渦輪流量計對管道內流速分布畸變及旋轉流是敏感的,進入傳感器應為充分發展管流,因此要根據傳感器上游側阻流件類型配備必要的直管段或流動調整器,如表2所示。若上游側阻流件情況不明確,一般推薦上游直管段長度不小于20D,下游直管段長度不小于5D,如安裝空間不能滿足上述要求,可在阻流件與傳感器之間安裝流動調整器。傳感器安裝在室外時,應有避直射陽光和防雨淋的措施。
 渦輪流量計傳感器安裝示意圖
表2 渦輪流量計所要求的最短直管段長度

上游側阻 單個90°彎頭 在同一平面上的
兩個90°彎頭 
在不同平面上的
兩個90°彎頭
同心減縮管 全開閥門 半開閥門 下游側長度
l/DN  20 25 40 15 20 50 5

 

以上內容來源于網絡,如有侵權請聯系即刪除!

下篇文章:流量計精度下降處理方法 上篇文章流量儀表在石油化工業中的應用
 版權所有:江蘇省蘇科儀表有限公司       技術支持│易品網絡
溫度儀表事業部    壓力儀表事業部   流量儀表事業部  校驗儀表事業部   顯示儀表事業部   變送器儀表事業部   電線電纜事業部