首   頁  公司簡介  產品中心  質量體系  銷售網絡  聯系我們
 
  溫度儀表系列
  壓力儀表系列
  流量儀表系列
  校驗儀表系列
  顯示儀表系列
  變送器儀表系列
  電線電纜系列
 
  電磁流量計的工作原理
  氧化鋯氧傳感器的原理及應用
  有害氣體檢測報警儀選用原則
  我國計量用儀器儀表的發展和現狀
  國內儀器儀表行業將發生高科....
  西安交大研制出超高溫沖擊壓....
  采用半導體精密溫度傳感......
  智能溫度傳感器的發展趨勢
  簡述幾種氣體檢測傳感器.....
  利用傳感器技術制造智能服裝
  新型傳感器監控魚群數量
   
 
聯系方式
 電話(市場部):0517-86851868  
        0517-86882048
        0517-86881908
   (拓展部):0517-86882683
 傳真:0517-86851869
 節假日商務聯系電話:
 何經理:13655238295
 紀經理:18015196880
 郵編:211600
 網址:http://m.tutu08.com/
    http://www.sukeyb.com/
 E-mail:china-suke@163.com
     sukeyb@163.com
 地址:江蘇省金湖縣工業園區環城西
 路269號
 您現在的位置 > 首頁 > 行業新聞 > 天然氣計量與影響分析
     

天然氣計量與影響分析
發布時間:2016-08-26

1 差壓式流量計
   在天然氣中使用的差壓式流量計主要是標準孔板流量計。孔板流量計經過多年發展,技術已趨于成熟,而且有相應的國家標準和規程支撐,在標準GB/T2624-2006、GB/T21446-2008中對孔板流量計的結構形式、技術要求等進行了詳細描述。
1.1 孔板流量計的基本原理
   根據能量守恒定律,在一定條件下動壓能和靜壓能可以相互轉換,在安裝孔板的位置,流體通過孔板后流速加快,導致靜壓能降低,通過測量孔板前后的靜壓差就可推算出流體流量大小。
根據標準GB/T21446-2008,其流量計算實用公式為:

式中:qvn—天然氣在標準參比條件下的體積流量;Avn—體積流量計量系數;C—流出系數;E—漸進速度系數;d—孔板開孔直徑(mm);FG—相對密度系數;ε—可膨脹系數;FZ—超壓縮系數;FT—流動溫度系數;P1—孔板上游側取壓孔氣流絕對靜壓(MPa);Δp—氣體流經孔板時產生的壓差(Pa)。
1.2 孔板流量計準確性影響因素
   為全面分析影響孔板流量計準確性的影響因素,現主要從天然氣的流體特性、孔板流量計本身儀器性能、孔板流量計的安裝以及使用環境等多個方面進行分析。
(1)天然氣本身流體特性影響計量的準確度主要表現在兩個方面,一方面是天然氣本身的壓力和溫度會隨外界環境溫度的變化而變化,從而導致過大的密度、壓縮系數以及粘度特性的變化,影響計量準確性。另一方面天然氣含有雜質,雜質會腐蝕儀器的接觸面,特別是對孔板直角入口邊緣和測量管內壁的沖涮和腐蝕,更是嚴重影響孔板計量的準確性。
(2)孔板流量計本身性能引起的誤差主要有以下幾個方面:孔板入口直角銳利度;孔板厚度誤差;節流件不同軸度;取壓孔加工不規范或堵塞;孔板上游端面平度;取壓位置;引壓管位置偏低造成積液或引壓管過長等。
(3)孔板流量計因安裝不當引進的誤差主要表現在:管線布置偏離,直管段長度不符合GB/T21446-2008標準要求。溫度傳感器測溫元件插入位置不對,導致溫度計量誤差偏大。
(4)使用環境的影響主要表現在環境溫度和濕度的變化,以及電磁干擾對電子元器件的影響。
2 速度式流量計
2.1 渦輪流量計的基本原理
   渦輪流量計是以動量矩守恒原理為基礎,流體作用在軸向安裝的葉輪葉片上,使渦輪旋轉,渦輪的旋轉速度隨流量的變化而變化,根據渦輪的轉數即可求出流量值,最后通過電磁轉換設備將渦輪的轉數變化成電脈沖信號,經二次儀表進行計算和顯示。
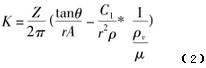
   流體在層流狀態時,流體的流動阻力與流體粘度、流量成正比。流體的阻力矩逐漸增大,而機械阻力矩可以忽略不計,此時的儀表系數為:

式中:Z—渦輪葉片數目;θ—葉片與軸線夾角;r—葉片平均半徑;A—流通截面積;ρ—流體密度;μ—流體粘度;C1—常數。
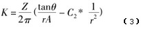
流體在湍流狀態時,流體的流動力矩與流量的平方、流體密度成正比。此時的儀表系數為:

式中:C2—常數。
   從湍流狀態時的儀表系數可以看出,在這種情況下,儀表系數只與儀表結構有關,而與流體的特性無關,為一恒定常數。渦輪流量計就是根據這一區間內來確定流量范圍。
2.2 渦輪流量計準確性影響因素分析
流體特性、表計安裝工藝以及使用環境等都會對渦輪流量計的準確性造成影響。
(1)關于流體特性的影響。一方面,從渦輪流量計的原理中可以看出,為使儀表達到計量特性,應使被測流體處于湍流狀態,只有在這種狀態下,儀表系數才不會跟隨流量的變化而變化。另一方面,流體的流速分布和旋渦流是影響其精確計量的主要因素,為此在配管時要求在流量計上游有15D以上的直管段,下游部分配置4D以上的直管段,目前實際使用中渦輪流量計通常自帶整流器,安裝時直管段可適當縮短。
(2)渦輪流量計的機械阻力、部件尺寸等也會影響計量精度。由于被測流體不可避免的含有雜質,會使渦輪軸承磨損、葉輪腐蝕或者卡死,導致機械阻力增大,部件尺寸變化影響精度,所以在現場使用時,需要在前端安裝過濾器。另外,渦輪流量計若長期超流量運行,會造成軸承過度磨損,使儀表系數改變,導致計量不準。
3 容積式流量計
3.1 腰輪流量計的基本原理
   當流體流入流量計后,推動計量室內部上方的腰輪順時針旋轉,通過驅動齒輪帶動下方的腰輪逆時針旋轉,上下腰輪交替旋轉,帶動流體不斷地從計量室流出,流體排出量為4倍計量室有效容積。據此,腰輪每旋轉一次就有固定容積的流體排出,通過計算單位時間內腰輪的動作次數,即可求出通過流量計的體積流量。
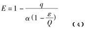
腰輪流量計特性可用測量通過的體積誤差E描述,通常表示為:

式中:E—相對誤差;q—容室體積;α—齒輪比常數;ε—流體泄露量;Q—流體流量。
從體積誤差公式中可以看出,當流體流量很小時有ε≈Q,流量計無法計數,測量誤差趨于無窮。當流體流量增大時,由于進出口的壓差也增大,泄露量也隨著增大,相應地誤差E也增大。所以,在流體流量過小和過大時,腰輪流量計的誤差都變化很大,只有在一定的流量范圍內使用時才能確保計量誤差的恒定。
3.2 腰輪流量計準確性影響因素分析
(1)影響腰輪流量計準確性的一個很重要因素就是流體的泄露量。泄露量是指從流量計入口流入后,從轉動部件和外殼之間的間隙流出,沒有被計量到的量。它的大小與轉動部件和外殼間的間隙有直接關系,當該間隙過大時,流量計的誤差穩定段就會縮小,誤差增大,相反,流量計的誤差穩定段會增長,誤差減小。所以在使用時,要綜合考慮被測流體的清潔度和測量誤差要求,選擇合適間隙的流量計。
(2)測量范圍的選擇。從圖1的誤差曲線可以看出,腰輪流量計只有在一定的范圍內,其測量誤差才能保持一定,當超出該范圍時,誤差將急劇增大。

4 流量計選型對測量精度的影響
   流量計的選型不對將會影響測量的精度以及使用壽命,特別是當流量計的口徑、規格、測量范圍選擇不當時,會造成“大馬拉小車或小馬拉大車”的現象,將嚴重影響計量的準確性。所以在天然氣流量計的選用時,應在了解各類型流量計計量原理和特性的基礎上,同時結合不同的天然氣管路工況和用戶流量需求進行綜合考慮。幾種常用天然氣流量計的特點和應用場合如表1所示。

5 流量計安裝維護對測量精度的影響
   在城市天然氣流量計使用過程中經常出現流量計卡死不過氣、過氣不計量等問題,這就會造成計量糾紛甚至安全事故,為了避免以上問題,保障流量計計量準確,就要把好流量計安裝關。包括安裝流量計前需要對管道進行吹掃,防止焊縫、PE屑、管道粉塵等雜物進入流量計。流量計前按要求安裝過濾器,定期對濾芯進行清洗更換。渦輪流量計一般水平安裝,按說明書保證直管段要求,腰輪流量計一般垂直安裝,有利于腰輪流量計的自潔凈。在流量計的日常維護方面,包括對渦輪和腰輪流量計定期加油潤滑,對流量進行監控,防止長期超流量運行,從而減緩軸承磨損;對流量計進行定期巡檢,對比管道中壓力表和流量計壓力顯示是否有偏差;對比實際用氣情況和流量計計量數據是否一致;對流量計進行周期檢定。
安裝遠程監控系統的流量計計量柜要做好接地保護,否則流量積算儀可能會出現不過氣走字或遇打雷天氣,積算儀黑屏等問題。
6 結束語
   隨著城市天然氣不斷地發展,國家對節能減排和能源計量的重視,天然氣的準確計量將會變得越來越重要。根據各種不同類型流量計的準確性影響因素分析,在實際選型、安裝、使用和維護等環節盡量減少不利因素的影響,從而提高最終計量的準確性。


以上內容來源于網絡,如有侵權請聯系即刪除!

下篇文章:流量計發展與現狀 上篇文章超聲波流量計在污水流量計校準中應用
 版權所有:江蘇省蘇科儀表有限公司       技術支持│易品網絡
溫度儀表事業部    壓力儀表事業部   流量儀表事業部  校驗儀表事業部   顯示儀表事業部   變送器儀表事業部   電線電纜事業部