首   頁  公司簡介  產品中心  質量體系  銷售網絡  聯系我們
 
  溫度儀表系列
  壓力儀表系列
  流量儀表系列
  校驗儀表系列
  顯示儀表系列
  變送器儀表系列
  電線電纜系列
 
  電磁流量計的工作原理
  氧化鋯氧傳感器的原理及應用
  有害氣體檢測報警儀選用原則
  我國計量用儀器儀表的發展和現狀
  國內儀器儀表行業將發生高科....
  西安交大研制出超高溫沖擊壓....
  采用半導體精密溫度傳感......
  智能溫度傳感器的發展趨勢
  簡述幾種氣體檢測傳感器.....
  利用傳感器技術制造智能服裝
  新型傳感器監控魚群數量
   
 
聯系方式
 電話(市場部):0517-86851868  
        0517-86882048
        0517-86881908
   (拓展部):0517-86882683
 傳真:0517-86851869
 節假日商務聯系電話:
 何經理:13655238295
 紀經理:18015196880
 郵編:211600
 網址:http://m.tutu08.com/
    http://www.sukeyb.com/
 E-mail:china-suke@163.com
     sukeyb@163.com
 地址:江蘇省金湖縣工業園區環城西
 路269號
 您現在的位置 > 首頁 > 行業新聞 > 氣體渦輪流量計流道壓力損失數據模擬
  發布時間:2016-07-04

氣體渦輪流量計流道壓力損失數據模擬

   在天然氣的采集、處理、儲存、運輸和分配過程中,需要數以百萬計的流量計,它既是天然氣供需雙方貿易結算的依據,也是生產部門用氣效率的主要技術指標,因此對流量計測量準確度和可靠性有很高的要求。 氣體渦輪流量計屬于速度式流量計,是應用于燃氣貿易計量的三大流量儀表之一。由于具有重復性好、量程范圍寬、適應性強、精度高、對流量變化反應靈敏、輸出脈沖信號、復現性好和體積小等特點,氣體渦輪流量計近年來已在石油、化工和天然氣等領域獲得廣泛的應用。
   隨著渦輪流量計在管道計量領域的廣泛使用,天然氣管道輸送過程中的能耗成為不容忽視的問題,而天然氣管道輸送過程中的壓力損失是產生能源消耗的主要原因之一。為保證天然氣能順利輸送至用戶端,就需要提高各壓氣站的輸送壓力并盡量減少管道輸送過程中的壓力損失,而各級管道上的計量流量計所造成的壓力損失占有很大比重。因此,氣體渦輪流量計的壓力損失研究對節能減排和推動我國燃氣計量儀表產業的發展具有較好的推動作用。
   近年來,越來越多的學者采用數值模擬仿真方法對渦輪流量計進行研究,如XU、LIU、 等學者均通過數值計算形式模擬流量計內部流動,并與實驗比較驗證了模擬結果的正確性。應用S-A、標準k-ε、RNGk-ε、Realizable k-ε和標準k-ω這5種湍流模型對渦輪流量計進行三維數值模擬,并將應用各湍流模型得出的仿真儀表系數與實流標定值進行對比和分析,這對數值模擬計算選取湍流模型給出了一定參考。
   目前,渦輪流量計的優化主要通過改良其導流件、葉輪、軸承、非磁電信號檢出器等部件的結構尺寸和加工工藝,來改善流量計測量氣體、高粘度流體和小流量時的特性。對降低渦輪流量傳感器粘度變化敏感度進行了研究。SUN等采用了Standard k-ε湍流模型數值模擬口徑為15mm的渦輪流量計的內部流動,結果表明壓力損失受到前端和后端形狀、導流體半徑、導流體的導流片和渦輪葉片厚度的影響.雖然對氣體渦輪流量計的流動進行實驗測量和數值計算,發現前導流器的結構變化對后面各部件內的氣體流動速度梯度和壓力恢復也有明顯影響,使總壓力損失進一步放大或減小,但對流量計的其它部件未進行分析。本文將對一種型號氣體渦輪流量計各部件的壓力損失與流量的關系進行分析研究,以提出其優化思路。
1 渦輪流量計的基本結構及工作原理
   本文采用80mm口徑氣體渦輪流量計作為研究對象,對其進行內部流道的壓力損失數值模擬。
   氣體渦輪流量計結構示意圖如圖1。氣體渦輪流量計實物如圖2,其中圖2(a)為渦輪流量計實物圖,圖2(b)為渦輪流量計機芯葉輪實物圖。
氣體渦輪流量計結構圖
渦輪流量計及葉輪實物圖
   氣體渦輪流量計的原理是,氣體流過流量計推動渦輪葉片旋轉,利用置于流體中的葉輪的旋轉角速度與流體流速成比例的關系,通過測量葉輪轉速來得到流體流速,進而得到管道內的流量值。渦輪流量計輸出的脈沖頻率f與所測體積流量qv成正比,即

式(1)中:k—流量計的儀表系數。
根據運動定律可以寫出葉輪的運動方程為

式(2)中:J—葉輪的轉動慣量;t—時間;ω—葉輪的轉速;Tr—推動力矩;Trm—機械摩擦阻力矩;Trf—流動阻力矩;Tre—電磁阻力矩。
2 計算模型
2.1 數學模型
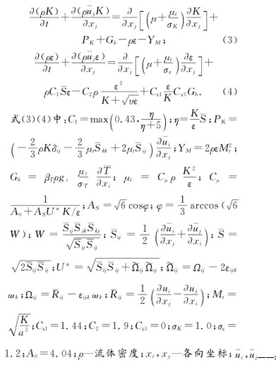
   設定渦輪流量計數值模擬的工作介質為空氣,流動處于湍流流動,數值模擬湍流模型采用Realizable K-ε模型,該模型適用于模擬計算旋轉流動、強逆壓梯度的邊界層流動、流動分離和二次流等,其模型方程表示為:
——各向流速平均值;a—聲速;μ—動力粘性系數;υ—運動粘性系數;K—湍流動能;ε—湍流耗散率;βT—膨脹系數;ωk—角速度; —時均轉動速率張量;如不考慮浮力影響Gb=0,如流動不可壓縮, =0,YM=0。
2.2 流體區域網格劃分
   使用Solidworks三維設計軟件依照實物尺寸對渦輪流量計各部件進行建模及組裝,簡化主軸、取壓孔和加油孔等對流體區域影響較小的部分。
   先對機芯部分做布爾運算得到純流體區域,然后對葉輪外加包絡體形成旋轉區域,在機芯進出口前后均加上15倍機芯口徑的直管段,以保證進出口流動為充分發展湍流。
   全部流體區域包括前后直管段、葉輪包絡體以及機芯部分的流體區域。用Gambit軟件對三維模型進行網格劃分,對流體區域中的小面和尖角等難以生成網格的部分進行優化和簡化處理,流體區域使用非結構化混合網格,并對機芯流道內葉輪等流動情況較復雜區域進行了局部加密,如圖3。其中圖3(a)為機芯流體區域網格圖,圖3(b)為葉輪網格圖,整體網格總數量約230萬。
渦輪流量計流體區域網格圖
2.3 數值模擬仿真條件設置
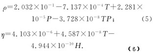
   數值計算時,為方便模擬結果與實驗結果的對比,環境溫度、濕度和壓力設置與實驗工況相同,流體介質選擇空氣,空氣的密度ρ和動力粘度η根據Rasmussen提出的計算規程擬合推導出的簡化公式(5)和(6)計算獲得:
式(5)(6)中:T—溫度;P—壓力;H—濕度。
   求解器采用分離、隱式、穩態計算方法,湍流模型選擇Realizable k-ε湍流模型,壓力插值選擇Body force weighted格式,湍流動能、湍流耗散項和動量方程均采用二階迎風格式離散,壓力與速度的耦合采用SIMPLEC算法求解,其余設置均采用Fluent默認值。
   計算區域管道入口采用速度入口邊界條件,速度方向垂直于入口直管段截面.出口邊界條件采用壓力出口。葉輪包絡體設置為動流動區域,其余為靜流動區域,采用interface邊界條件作為分界面,對于旋轉部分和靜止部分之間的耦合采用多重參考坐標模型(MRF)。葉輪采用滑移邊界條件且相對于附近旋轉流體區域速度為零。葉輪轉速是通過使用FLUENT軟件中的TurboTopol-ogy與Turbo Report功能,不斷調整葉輪轉速,觀察葉輪轉速是否達到力矩平衡來確定的。
3 數值模擬結果分析
   在流量計流量范圍內選取了13m3/h、25m3/h、62.5m3/h、100m3/h、175m3/h、250m3/h這6個流量點進行同工況環境數值模擬,得到氣體渦輪流量計的內部流場和壓力分布等數據。進口橫截面取于前整流器前10mm處,出口橫截面取于后導流體后10mm處。計算渦輪流量計進出口橫截面上的壓力差,即得到流量計的壓力損失。
圖4為流量與壓力損失之間的關系曲線,圖中實驗值是在工況條件下使用音速噴嘴法氣體流量標準裝置測得。

   根據圖4中壓力損失隨流量的變化趨勢,可以將流量與壓力損失之間的關系擬合曲線為二次多項式,其表達式為

   這與流量計的壓力損失計算公式(8)趨勢相符,均為二次函數,且數值模擬結果與實驗結果吻合得較好,說明渦輪流量計的內部流場數值模擬方法及結果是可行且可靠的。流量計的壓力損失計算公式為

式(8)中:ΔP—壓力損失;α—壓力損失系數;υ—管道平均流速。
   以流量Q=250m3/h的數值模擬計算結果為例進行渦輪流量計內部流場及壓力場的分析.圖5為渦輪流量計軸向剖面靜壓分布圖.前導流器前后的壓力場分布較均勻且壓力梯度較小,在機芯殼體與葉輪支座連接凸臺處壓力有所增加,連接面后壓力又逐漸減小.故認為流體流經葉輪支座產生壓力損失的主要原因是連接處存在凸臺,導致流場出現較大變化,不能平滑過渡,建議將葉輪支座與機芯殼體的連接改為圓弧線型或流線型。
   觀察圖5和圖6,當流體流經葉輪從后導流器流出渦輪流量計時,壓力梯度變化明顯,存在負壓區域并造成很大的壓降,在后導流器凸臺及流量計出口處速度變化明顯,由于氣流通過后導流器后流道突擴,在后導流器背面形成明顯的低速渦區,產生了漩渦二次流。

   結合圖7、圖8流量計軸向剖面和出口橫截面的總壓及速度分布圖,其速度分布與壓力分布相似,流量計流道內速度分布較均勻的區域其壓力梯度變化也較小,即流道內速度的分布和變化與壓力損失大小相關。由流量計軸向剖面和出口橫截面的速度及壓力分布圖可以看出,流量計后導流器處產生的漩渦二次流影響了出口橫截面處的速度及壓力分布


   流量計各部件的壓力損失隨流量變化的趨勢與流量計總壓力損失隨流量的變化趨勢相同,其擬合公式為系數不同的二次多項式。各部件的壓力損失與流量呈二次函數關系,隨著流量的增加,壓力損失顯著增加。

   觀察圖10各部件壓力損失百分比圖,可見前整流器、前導流器和機芯殼體處的壓力損失很小,葉輪支座處壓力損失約占總壓力損失的1/4。前整流器所占壓力損失比例在各流量點基本保持不變,前導流器和機芯殼體處的壓力損失隨流量的增加其比例略有降低,葉輪支座處壓力損失隨流量的增加其比例略有增加,但總體上受流量影響不大。葉輪處的壓力損失隨流量從13m3/h增加至250m3/h,其比例從15.88%降至8.71%,降幅明顯.后導流器處的壓力損失占總壓力損失的大半,隨著流量從13m3/h增加至250m3/h其壓力損失比例由43.77%升至55.83%,增幅明顯?傊,后導流器、葉輪支座和葉輪是流體流經渦輪流量計產生壓力損失的主要影響部件,可通過優化其結構以降低渦輪流量計的總壓力損失。

4 結語
   本文采用Fluent軟件對一口徑為80mm的渦輪流量計內部進行了數值模擬計算,分析內部流場、壓力場及各部件產生的壓力損失,得出以下結論:
1)漩渦二次流是產生能量消耗的主要原因,故建議對渦輪流量計葉輪支座及后導流器進行幾何參數的優化,將其凸臺邊緣改為流線型以減少。流道突擴的影響,減少后導流器葉片厚度并增加其長度及數量以減弱氣體螺旋狀流動,減弱漩渦二次流,達到降低流量計壓力損失的目的。
2)分析各部件對壓力損失的影響,其壓力損失與流量成二次函數關系。后導流器相對于其他部件是壓力損失的主要因素,約占總壓力損失的一半,隨著流量的增加其壓力損失占總壓力損失的比例上升了12.06%。葉輪支座的壓力損失約占總壓力損失的1/4,其壓力損失比例隨流量的增加基本不變。隨著流量的增加葉輪產生的壓力損失比例降幅明顯。
通過數值模擬分析得出速度的分布和變化與壓力損失大小相關,通過優化流量計流道內的速度分布可降低流量計的壓力損失,后續相關的渦輪流量計優化研究可從優化其流道內速度分布入手。

以上內容來源于網絡,如有侵權請聯系即刪除!

下篇文章:腐蝕性介質流量計如何選擇 上篇文章橢圓齒輪流量計故障分析與處理
 版權所有:江蘇省蘇科儀表有限公司       技術支持│易品網絡
溫度儀表事業部   壓力儀表事業部   流量儀表事業部   校驗儀表事業部   顯示儀表事業部  變送器儀表事業部   電線電纜事業部