首   頁  公司簡介  產品中心  質量體系  銷售網絡  聯系我們
 
  溫度儀表系列
  壓力儀表系列
  流量儀表系列
  校驗儀表系列
  顯示儀表系列
  變送器儀表系列
  電線電纜系列
 
  電磁流量計的工作原理
  氧化鋯氧傳感器的原理及應用
  有害氣體檢測報警儀選用原則
  我國計量用儀器儀表的發展和現狀
  國內儀器儀表行業將發生高科....
  西安交大研制出超高溫沖擊壓....
  采用半導體精密溫度傳感......
  智能溫度傳感器的發展趨勢
  簡述幾種氣體檢測傳感器.....
  利用傳感器技術制造智能服裝
  新型傳感器監控魚群數量
   
 
聯系方式
 電話(市場部):0517-86851868  
        0517-86882048
        0517-86881908
   (拓展部):0517-86882683
 傳真:0517-86851869
 節假日商務聯系電話:
 何經理:13655238295
 紀經理:18015196880
 郵編:211600
 網址:http://m.tutu08.com/
    http://www.sukeyb.com/
 E-mail:china-suke@163.com
     sukeyb@163.com
 地址:江蘇省金湖縣工業園區環城西
 路269號
 您現在的位置 > 首頁 > 行業新聞 > 金屬管浮子流量計流量計算公式
     

金屬管浮子流量計流量計算公式
發布時間:2015-04-20

    金屬管浮子流量計用于連續測量封閉管道中液體和氣體的體積流量,結構簡單、可靠、使用維護方便,能適應各種場合,因此廣泛地應用于流量測量和工業過程控制中。
    流量計由傳感器和指示器組成,除就地指示瞬時流量外,還可遠傳輸出4~20mADC電信號,整體采用模塊式組合設計,可在現場快速增加上下限開關 、流量累積功能 ,各功能單元板為插裝結構,具有更換部件簡單、方便、定位準確的特點。
1、為什么要進行流量換算
    制造廠家是用水或空氣來進行浮子流量計的標定的。由于實際應用時介質的狀態和標定時不同,根據測量原理,浮子在測量管中的同一位置所代表的流量值和標定時是不同的,要想正確選擇流量計的規格、現場使用好儀表,就要知道它們之間的流量換算關系。
     另外浮子流量計行業標準規定其精度是相對于滿量程而言的,所以用戶使用時,其常用流量應達到滿量程的60%~80%以上較為合理,如果用在50%以下則相對誤差會增大,精度受影響,如果流量超過滿量程更是無法正常測量,因此只有正確進行流量換算才能選出適合的儀表。
2、換算的依據
    換算的依據主要有兩個:浮子流量計的理論計算公式和理想氣體的狀態方程。
 浮子流量計的計算公式
(1)
式中:
Q——體積流量
a——流量系數
Fk——浮子最大直徑與其同高度錐管橫截面之間的環隙面積
g——重力加速度
Vf——浮子的體積
ρf——浮子的密度
ρ——被測流體的密度
A——浮子的最大截面積(式中的單位為cm、g、s制)理想氣體的狀態方程 
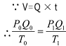
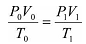
(2)
式中:
P0,P1——兩種狀態下的絕對壓力
T0,T1——兩種狀態下的絕對溫度
V0,V1——兩種狀態下的體積從理想氣體的狀態方程可以演繹出以下兩種關系 :
a流量關系  (3)
B密度關系  (4)
式中:
M——介質的質量
ρ——介質的密度
Q——介質的流量
3、流量換算公式
    流量計測量不同介質時流量之間的關系如下式:
    從式中可以看到浮子流量計流量換算的實質是密度換算。
 3.1 液體的測量和換算
    流量計用于液體流量測量時,制造廠是用常溫下清潔的水作為校驗液來標定的,若被測介質的密度與水的密度不同,應對被測介質的流量進行換算。
公式如下:
  (6)
式中:
Q1——被測介質的實際流量
Q0——換算成水的流量
Kp——體積流量的密度修正系數
ρf——浮子部件的密度:7900kg/m3
ρ0—— 20℃時水的密度:998.2kg/m3
ρ1——被測介質的密度:kg/m3
3.2 氣體的測量和換算
    流量計用于氣體流量測量時,制造廠是用標準狀況下(20℃、101.325kPa)的空氣進行標定的,由于氣體的密度遠小于浮子密度, 公式( 5 ) 簡化為:
  (7)
    式中各項均為工作狀態下的值,為方便起見應換算到標準狀態下,將公式(3)和(4)代入并整理后便得到氣體的換算公式
  (8)
式中:
Q1——被測氣體工作狀況下的流量換算到標準狀態下的流量(Nm3/h)
Q0——換算成標準狀態下空氣的流量(Nm3/h)
ρ1——標準狀態下被測氣體的密度(kg/m3)
ρ0——標準狀態下空氣的密度:(1.205kg/m3)
P1——被測氣體工作狀況下的絕對壓力(表壓+大氣壓)MPa
P0——標準狀態時的壓力(0.101325MPa )
T1——被測氣體工作狀況下的開爾文溫度
T0——標準狀態時的開爾文溫度(293.15K)
Kρ——氣體的密度修正系數
Kp——氣體的壓力修正系數
KT——氣體的溫度修正系數
4、應用實例
    儀表選型的實質就是求出換算流量Q0,再根據流量規格選出合適的儀表型號。
    例題1用戶的被測介質為二氯丙烷,密度1130kg/m3,流量上限為10001/h,如何選型?
解:換算流量×1000=1074.31/h
    因此用DN25口徑的浮子流量計進行測量比較合適。
    例題 2用戶的被測介質為乙炔(密度為1.091kg/Nm3),壓力為3kgf/cm2,溫度為25℃,流量上限為10m3/h時,如何選型?
    解:被測氣體的絕對壓力p1=3×98.1+101.325=395.625kPa
    標準狀況下的流量×10=38.39Nm3/h
    換算流量×38.39=18.64Nm3/h
    因此用DN15口徑的浮子流量計進行測量比較合適。
5 結語
    金屬管浮子流量計作為過程控制儀表,可以適應高溫、高壓、強腐蝕、劇毒等多種苛刻環境,可動部件少、便于維護,解決了生產中的許多難題。金屬管浮子流量計以其卓越的性能被越來越多的用戶所青睞。而熟練掌握浮子流量計的流量換算對正確選表和用表至關重要。因此了解浮子流量計的性能特點和儀表選型的方法,才能正確選擇性能和價格比較高的類型。

本文由智能電磁流量計,江蘇省蘇科儀表有限公司為您提供,轉載請注明出處!!

下篇文章:有紙記錄儀工作原理 上篇文章蒸汽流量計安裝說明
 版權所有:江蘇省蘇科儀表有限公司       技術支持│易品網絡
溫度儀表事業部     壓力儀表事業部    流量儀表事業部    校驗儀表事業部    顯示儀表事業部    變送器儀表事業部    電線電纜事業部